网站首页  词典首页


请输入您要查询的字词:

 

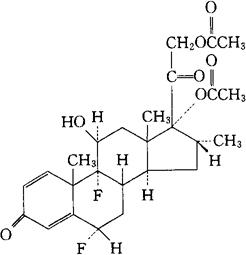
字词 二醋酸二氟拉松
类别 中英文字词句释义及详细解析
释义 二醋酸二氟拉松

C26H32F2O7=494.53

CAS-33564-31-7

CAS-2557-49-5(diflorasone)

(6α,11β,16β)-17,21-双(乙酰氧)-6,9-二氟-11-羟-16-甲基孕甾-1,4-二烯-3,20-二酮。

Pregna-1,4-diene-3,20-dione,17,21-bis(aceyloxy)-6,9-difluoro-11-hydroxy-16-methyl-,(6α,11β,16β)-.

6α,9-二氟-11β,17,21-三羟-16β-甲基孕甾-1,4-二烯-3,20-二酮17,21-二醋酸酯。

6α,9-Difluoro-11β,17,21-trihydroxy-16β-methylpregna-1,4-diene-3,20-dione 17,21-diacetate.

肾上腺皮质激素类药,消炎药(局部)。

Diflorasone Diacetate,U-34,865.

INN & BAN(Diflorasone),USAN,USP.

随便看

 

离鸟网收录3541549条中英文词条,其功能与新华字典、现代汉语词典、牛津高阶英汉词典等各类中英文词典类似,基本涵盖了全部常用中英文字词句的读音、释义及用法,是语言学习和写作的有利工具。

 

Copyright © 2004-2024 vtrois.com All Rights Reserved
更新时间:2026/4/7 23:32:04