网站首页  词典首页


请输入您要查询的字词:

 

字词 二项分布
类别 中英文字词句释义及详细解析
释义 二项分布

描述离散随机变量的一种常用的概率分布。

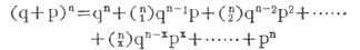
设在n次重复试验中,某事件出现x(x=0,1,2,……,n)次的概率依次为二项展开式:

式中的各相应项,其普通项常表示为:

上面的概率分布称为二项分布。二项分布的数值,决定于二项试验的次数n和每次某事件出现的概率p,常以b(x;n,p)表示,即:

二项分布的主要性质:(1)二项分布为离散分布,对于固定的n和p,x取k(k=0,1,……,n)的概率随著k的增大,先是增至最大值,而后再下降;(2)对于固定的p,随著n的增大二项分布的图形趋于对称;(3)二项分布的期望值为np,方差为npq。

二项分布是专门描述每次试验只有发生(或成功)和不发生(或失败)两种可能结果的概率模型,在生产实践中得到广泛应用。在实际工作中,二项分布概率值的计算,当n很大时,则用其极限分布求其近似值较方便。

随便看

 

离鸟网收录3541549条中英文词条,其功能与新华字典、现代汉语词典、牛津高阶英汉词典等各类中英文词典类似,基本涵盖了全部常用中英文字词句的读音、释义及用法,是语言学习和写作的有利工具。

 

Copyright © 2004-2024 vtrois.com All Rights Reserved
更新时间:2026/4/7 22:12:49