网站首页  词典首页


请输入您要查询的字词:

 

字词 氮生理功能
类别 中英文字词句释义及详细解析
释义

氮生理功能physiological functions of nitrogen

氮在有机体生命活动过程中所起的作用。氮在植物营养中占突出地位,它是构成生命物质——蛋白质和核酸的主要成分,又是叶绿素、维生素、生物碱、植物激素等的组成部分,参与植物体内许多重要的物质代谢过程,对植物的生长发育和产量品质影响极大。
氨基酸和蛋白质的主要成分
植物根部吸收无机态氮后,在体内氨首先同化为谷氨酸,进而转化为各种氨基酸,合成蛋白质。构成蛋白质的氨基酸有20种,它们大多数是α-氨基酸,即氨基结合在与羧基(-COOH)相邻的α-碳原子上,各个氨基酸有不同的侧链R。用下列一般式表示。



根据侧链的化学结构,可将氨基酸划分为中性氨基酸(一氨基一羧酸)、酸性氨基酸(一氨基二羧酸)和碱性氨基酸(二氨基一羧酸)。此外,还可将氨基酸分为脂肪族氨基酸(甘氨酸、丙氨酸等)、芳香族氨基酸(苯丙氨酸、酪氨酸)和杂环式氨基酸(脯氨酸、组氨酸、色氨酸)。
植物体内的氨基酸除了能构成蛋白质外,还有一部分以游离或结合状态的氨基酸存在。在铵供应过剩,而体内碳水化合物缺乏情况下累积的氨,可与氨基酸结合形成酰胺。酰胺作为氮素暂时的贮存状态,在植物的氮代谢中有重要作用。
蛋白质中氮含量占16%~18%。含在植物组织中的蛋白质种类极多,主要包括结构蛋白、贮藏蛋白和酶蛋白三大类。它们在植物体内的功能不同。结构蛋白是构成细胞质、细胞核和细胞壁的组分,它往往与核酸、糖类、脂质、磷酸相结合,分别形成核蛋白、糖蛋白、脂蛋白、磷蛋白,负责体内细胞的增长和新细胞的形成。贮藏蛋白在种子胚乳中大量存在。小麦种子中的贮藏蛋白是溶于乙醇的麦醇溶蛋白和溶于稀碱溶液的麦谷蛋白。豆科等双子叶植物种子中的贮藏蛋白主要是球蛋白,存在于子叶中。当种子发芽时,胚乳或子叶中的贮藏蛋白分解为酰胺和氨基酸,转运到正在生长的幼根和幼芽中,合成这些组织的蛋白质和其他含氮化合物。酶蛋白是以卟啉和黄素作辅基的色素蛋白质,和与铁、铜、锌、锰等金属结合的金属蛋白,各自表现出特有的酶的作用,参与植物体内各种生化反应。例如和铁卟啉(正铁血红素)结合的细胞色素氧化酶类和过氧化氢酶,参与光合作用中的电子传递;含钼的黄素蛋白结合的硝酸还原酶,参与硝酸还原为铵的过程。植物组织中的酶蛋白,种类多达数千种。
核酸的组成成分 核酸的基本单位是核苷酸,每个核苷酸分子是由核糖(或脱氧核糖)、氮碱和磷酸3部分组成。氮存在于嘌呤(腺嘌呤、鸟便嘌呤)和嘧啶(胞嘧啶、胸腺嘧啶和尿嘧啶)类氮碱中。
核酸分核糖核酸(RNA)和脱氧核糖核酸(DNA)。两种核酸的核苷酸成分见表1。

表1 两种核酸的核苷酸成分


核苷酸成分RNADNA
核 糖D-核糖(r)D-2-脱氧核糖(dr)
氮 碱腺嘌呤(A)
鸟嘌呤(G)
胞嘧啶(C)
尿嘧啶(U)
腺嘌呤(A)
鸟嘌呤(G)
胞嘧啶(C)
胸腺嘧啶(T)
磷 酸磷酸(P)磷酸(P)

氮是构成RNA和DNA的必需成分。RNA和DNA是合成蛋白质和决定生物遗传性的物质基础。植物体内的遗传信息靠DNA传递,DNA把遗传信息转录到RNA,RNA将信息翻译为多肽的氨基酸顺序,形成蛋白质:



参与叶绿体结构和叶绿素的形成
叶绿体是植物进行光合作用的重要细胞器,氮是叶绿体的结构成分和叶绿素的组成成分。施用氮肥可增加叶绿素的含量,促进光合作用,直接关系到光合作用产物的形成。植物缺氮时,体内叶绿素含量减少,叶色呈浅绿色或黄色,光合作用减弱,碳水化合物含量降低,使植物不能正常生长发育。
参与维生素类物质的形成
植物体内维生素B1、维生素B2、维生素B6、维生素PP等均含有氮。
维生素B1 分子中含有氨基和硫,又叫硫胺素。生物组织中硫胺素多以硫胺素焦磷酸酯(TPP)的形式存在。TPP是丙酮酸脱羧酶的辅酶,对丙酮酸的氧化脱羧生成乙酰辅酶A是不可缺少的;TPP也是α-酮戊二酸脱羧酶的辅酶,由α-酮戊二酸形成琥珀酰辅酶A需有它参加。由此可见TPP在糖代谢中对酮酸的氧化脱羧过程起重要作用。
维生素B2 分子中含有核醇,并且有黄绿色荧光,又叫核黄素。维生素B2在植物组织中广泛存在,它大多与蛋白质相结合,成为黄素蛋白,是许多氧化还原酶、黄酶的辅酶或辅基,在植物体内生物氧化过程中有重要作用。
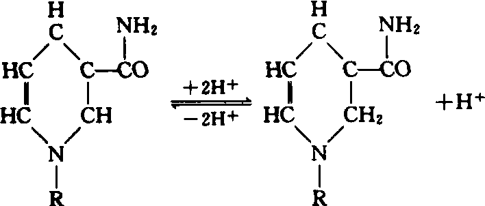
维生素B6 吡啶的衍生物。吡哆醇在无机磷和ATP参与下,能转变成磷酸吡哆醛。它是氨基转移酶的辅酶,在植物氮素代谢的氨基转移过程中起很大作用。
维生素PP 为尼克酰胺。尼克酸在生物体内由色氨酸转变而来,它构成脱氢酶的主要辅酶NAD和NADP的成分。NAD和NADP传递氢的氧化还原作用发生在尼克酰胺的吡啶核上的脱氢及加氢。

合成其它含氮化合物

生物碱
植物体内的生物碱如烟碱、茶碱、可可碱、咖啡碱、胆碱、吗啡、奎宁、麻黄碱等均含有氮。它是一类特殊的碱性含氮有机化合物,大都具有复杂的环状结构,难溶于水,易溶于微酸溶液。生物碱具有一定的生理作用,例如胆碱是卵磷酯的重要成分,卵磷酯参与生物膜的形成。很多生物碱对于动物有机体具有强烈的毒害作用,可应用于医学上作为药剂,如吗啡、奎宁及麻黄碱等。
植物激素
植物体内合成的生长素、细胞分裂素等生长激素也是含氮有机化合物,它们虽然含量甚微,但对促进植物生长发育有重要作用。
酰脲
植物体内酰脲化合物有尿囊素、尿囊酸、瓜氨酸、β-尿基丙酸和β-尿基异丁酸等。它们也是一种贮藏和运输形态的氮,和谷氨酰胺及天门冬酰胺一样,成为植物体内贮藏、转运氨和解除氨毒的形态之一。根瘤着生良好的大豆,根中生成大量的尿囊素,可暂时贮藏在叶和茎中,而当荚形成时,则转移到荚中,作为形成籽实蛋白质的氮源。
随便看

 

离鸟网收录3541549条中英文词条,其功能与新华字典、现代汉语词典、牛津高阶英汉词典等各类中英文词典类似,基本涵盖了全部常用中英文字词句的读音、释义及用法,是语言学习和写作的有利工具。

 

Copyright © 2004-2024 vtrois.com All Rights Reserved
更新时间:2026/4/9 23:28:25