| 释义 |
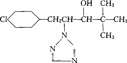
氯丁唑paclobutrazol PP333又称多效唑。一种高效低毒的植物生长延缓剂和广谱性杀菌剂。分子式为C15H20N3OC1,化学名称是(2RS,3RS)-1-对氯苯基-2-(1,2,4-三唑-1-基)-4,4-二甲基戊醇-3。结构式如下。纯品为白色结晶,难溶于水,可溶于氯仿和二氯甲烷等极性有机溶剂。为赤霉素生物合成的抑制剂,具有延缓植物生长,抑制茎的伸长,促进分蘖,延缓衰老,增强植物抗倒、抗逆能力等效果,也是有效的杀真菌和杀细菌剂。主要通过木质部运输,故以施于土壤为宜。在农业和园艺上已被广泛应用。 
|