网站首页  词典首页


请输入您要查询的字词:

 

字词 氯鼠酮
类别 中英文字词句释义及详细解析
释义

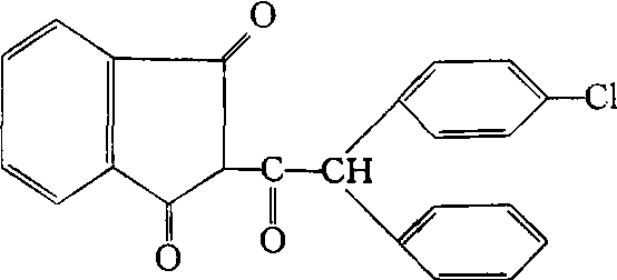
氯鼠酮chlorophacinone

又称氯敌鼠。第一代广谱抗凝血型慢性杀鼠剂。化学名称:2-〔2-(4-氯苯基)-2-苯基乙酰基〕茚满-1,3-二酮。化学结构式如下。原药为黄色无臭结晶体,熔点142~144℃。在20℃时的蒸气压为0。不溶于水,溶于丙酮、乙醇、乙酸乙酯。酸性条件下不稳定。毒理机制与敌鼠、杀鼠迷相似。适口性好、靶谱广、作用缓慢、灭鼠效果好,对人、畜较安全。防除家栖及野栖害鼠,使用毒饵法一次性投饵。大鼠急性口服(一次)LD50为9.6~13.0 mg/kg,口服5次LD50 为 0.16~ 0.18mg/kg。对狗较敏感,对人、畜及家禽较安全,不易发生二次中毒。解毒剂为维生素K1

随便看

 

离鸟网收录3541549条中英文词条,其功能与新华字典、现代汉语词典、牛津高阶英汉词典等各类中英文词典类似,基本涵盖了全部常用中英文字词句的读音、释义及用法,是语言学习和写作的有利工具。

 

Copyright © 2004-2024 vtrois.com All Rights Reserved
更新时间:2026/4/6 17:42:04