| 释义 |
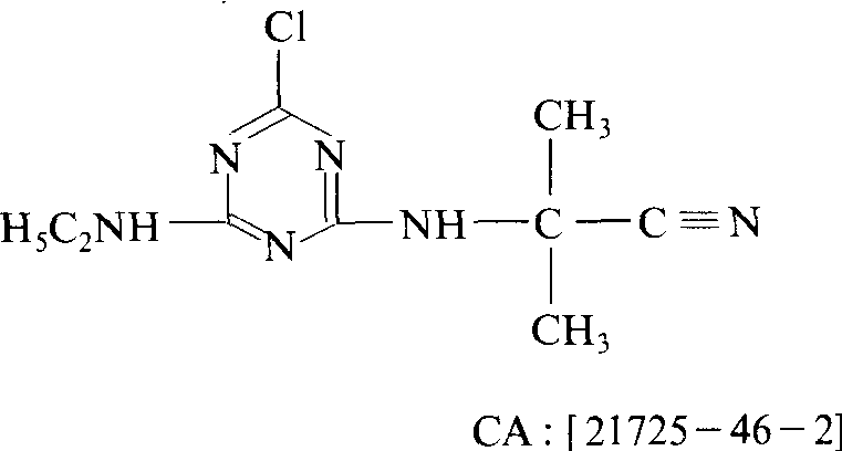
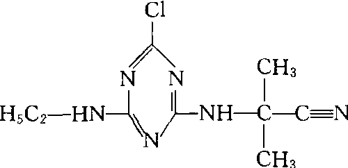
氰草津cyanazine土壤兼茎叶处理内吸传导选择性持效期略短的氯三氮苯除草剂。又名草净津、百得斯、Bladex。化学结构式:  1971年首先由英国壳牌(Shell)公司开发。 性能 纯品为白色结晶,熔点166.5 ~167℃,20℃时蒸气压为199.98×10-9帕,25℃水中溶解度为171毫克/升,乙醇中为45克/升,氯仿中为210克/升,对光和热很稳定。在中性、微酸性或微碱性介质中可水解。大鼠口服LD50为 182 ~ 288毫克/千克,在哺乳动物体内迅速被代谢和排出,对虹鳟鱼LC50为5毫克/升。 氰草津主要被根吸收,也可通过叶部吸收,通过抑制光合作用发挥除草活性,使杂草死亡。玉米体内含有酶使其水解或形成轭合物而丧失毒性,使玉米安全。土壤粘粒能吸附氰草津,在土壤中的移动性比西马津大,在潮湿的土壤中半衰期为14~16天,持效期2~3个月,比莠去津降解快对后茬小麦的种植无影响。土壤中微生物能分解本剂。 应用 氰草津适用于玉米、豌豆、蚕豆、马铃薯、棉花等作物地中,防治多种一年生禾本科和阔叶杂草,施药时期为播种后出苗前,土壤喷雾处理或苗后杂草2~4叶期茎叶喷雾。土壤处理每公顷1.8~2.4千克,叶面茎叶喷雾1.2~2.0千克。可与莠去津混用,以扩大杀草谱和缩短残留期。土壤湿润有利于药效的发挥,春天土壤干旱时,施药后浅耙混土有利药效的发挥。氰草津cyanazine又称百得斯、草净津。三氮苯类内吸、选择性除草剂。化学名称:2-氯-4-(1-氰基-1-甲基乙胺基)-6-乙胺基-1,3,5-三氮苯。化学结构式如下。原药为白色结晶固体,熔点166.5~169℃,20℃时蒸气压为213.3×10-9 Pa,不易挥发,微溶于水,易溶于乙醇、三氯甲烷、苯、甲基环己酮等有机溶剂,对光和热稳定,在中性、微酸性或微碱性介质中水解。药剂可通过根及叶面吸收,抑制光合作用,使植物饥饿死亡。可用于玉米、小麦、大麦、蚕豆、豌豆、马铃薯及甘蔗田,防除一年生禾本科杂草和阔叶杂草。对人、畜中等毒性,大鼠急性口服LD50为182~334 mg/kg,兔急性经皮LD50>2 000 mg/kg。 
|