网站首页  词典首页


请输入您要查询的字词:

 

字词 汇率的购买力平价说
类别 中英文字词句释义及详细解析
释义

汇率的购买力平价说

以两国货币对商品和服务的购买能力来确定两国货币汇率的理论。由瑞典经济学家卡塞尔(Cassel,Karl Gustav, 1866—1945)于1916年提出,1922年又作了进一步的系统论证和分析。卡塞尔认为,人们之所以需要外国货币,是因为它在外国具有对一般商品的购买力;而外国人之所以需要本国货币,也是因为它在本国境内具有商品购买力。因此,一国货币对另一国货币的汇率,主要是由两国货币分别在两个国家所具有的购买力决定的。卡塞尔将购买力平价分为“绝对购买力平价”和“相对购买力平价”两种形式。 绝对购买力平价,是指两国货币的汇率等于两国价格水平的比率。在自由贸易的条件下,通过贸易自由竞争,使两国汇率变化与两国物价水平保持相对稳定,国际收支趋向平衡。根据两国物价水平而求得的均衡汇率,就是绝对购买力平价。用公式表示:

E=Pa/Pb

E表示两国货币的汇率,Pa表示A国的物价水平,Pb表示B国的物价水平。绝对购买力平价表明,在用同一国货币来表示时,两个国家的价格水平均相等。用公式表示:

Pa=Pb×E

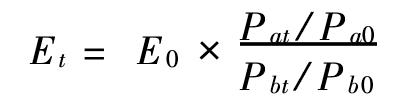
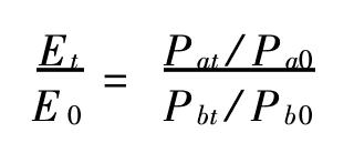
相对购买力平价,是指在一定时期内两国货币汇率的变动等于两国价格水平变动的比率。用公式表示:

或写为:

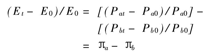
公式中Et表示新汇率,E0表示基期汇率,Pa t/Pa0表示A国价格水平的变动,Pb t/Pb 0表示B国价格水平的变动。假设美元对英镑的基期汇率为2∶1,经过一个时期,两国通货膨胀率发生变动,美国物价指数由原来的100上升到110,而英国则由原来的100增加到105,那么新汇率就等于基期汇率乘以两国物价指数变动的比率。 根据公式,新汇率为2.1美元等于1英镑。相对购买力平价还可表述为: 在一定时期内两国货币汇率变动的百分比,等于两国价格水平变动的百分比之差,即等于两国通货膨胀率之差。用公式表示:


πa和πb分别表示两国的通货膨胀率。
汇率的购买力平价说是在第一次世界大战后各国先后放弃了金本位制、实行纸币流通制度的背景下提出的。最初由于受金本位制的影响,各国对货币发行、通货膨胀控制比较严格,这一理论并没有引起经济学家们的高度重视。但是,随着20世纪70年代以美元为基础的固定汇率制度的瓦解,通货膨胀日益加剧,购买力平价说开始得到人们的广泛注意,现在已被公认为进行汇率长期预测的重要理论。当然,购买力平价说也有其缺陷: (1) 它以货币数量论作为其理论基础,将货币数量看做是影响物价水平变动的唯一因素,这不完全符合实际情况。事实上,生产成本、贸易条件等对物价水平也有很大的影响。(2) 用货币购买力来测算两国的汇率,就产生了怎样选择具有代表性的商品、商品价格基础的标准以及物价指数基期的确定等一系列技术性问题。
随便看

 

离鸟网收录3541549条中英文词条,其功能与新华字典、现代汉语词典、牛津高阶英汉词典等各类中英文词典类似,基本涵盖了全部常用中英文字词句的读音、释义及用法,是语言学习和写作的有利工具。

 

Copyright © 2004-2024 vtrois.com All Rights Reserved
更新时间:2026/4/8 3:08:55