网站首页  词典首页


请输入您要查询的字词:

 

字词 五种常用的直线系方程
类别 中英文字词句释义及详细解析
释义 五种常用的直线系方程

1.过两直线l1和l2交点的直线系方程为:

A1x+B1y+C1+λ(A2x+B2y+C2)=0(不含l2).

2.与直线y=kx+b平行的直线系方程:

y=kx+m(m≠b).

3.过定点(x0,y0)的直线系方程:

y—y0=k(x—x0)及x=x0

4.与Ax+By+C=0平行的直线系设为

Ax+By+m=0(m≠C).

5.与Ax+By+C=0垂直的直线系设为Bx—Ay+n=0.

例1 在△ABC中,BC边上的高所在的直线方程为x—2y+1=0,∠A的平分线直线的方程为y=0,若点B的坐标为(1,2),求点A和点C的坐标.

解 联立x—2y+1=0和y=0,

得A(—1,0).

∵x轴是∠BAC的平分线,如下图所示.

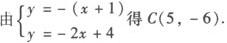
∴B(1,2)关于x轴的对称点必在直线AC上,故AC的方程为y=—(x+1).

又BC边上的高所在直线方程为:x—2y+1=0,∴kBC=—2.

∴BC的方程为y—2=—2(x—1).

点评 本题利用了对称关系(一个角的两边关于角平分线对称).

例2 (1)已知直线:ax+3y+1=0与x+(a—2)y+a=0平行,求a的取值范围;

(2)已知直线:ax—y+2a=0与(2a1)x+ay+a=0互相垂直,求a的取值范围.

分析 含有字母参数问题,应分类讨论,达到分类讨论的训练目的

解 (1)当(a—2)≠0,a≠0时,

解得a=—1或a=3,但a=—1,使 ,舍a=—1,则a=3.

(2)由a(2a—1)—a=0,

解得:a=1,a=0.

当a=0时,两方程为x=0,y=0;

当a=1时,

两方程为:x—y+2=0与x+y+1=0,互相垂直,所以a=1,a=0为所求.

点评 在研究两条直线l1∶A1x+B1y+C1=0与l2∶A2x+B2y+C2=0的平行与垂直的关系时,有;l1⊥l2A1A2+B1B2=0.

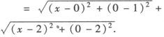
例3 求函数 的最小值

令A(0,1)B(2,2),P(x0,0),则问题转化为在x轴上求一点P(x,0)使|PA|+|PB|有最小值.

如图所示,由于A、B在x轴同侧,故取A关于x轴的对称点A′(0,—1).

随便看

 

离鸟网收录3541549条中英文词条,其功能与新华字典、现代汉语词典、牛津高阶英汉词典等各类中英文词典类似,基本涵盖了全部常用中英文字词句的读音、释义及用法,是语言学习和写作的有利工具。

 

Copyright © 2004-2024 vtrois.com All Rights Reserved
更新时间:2026/5/31 23:28:43