网站首页  词典首页


请输入您要查询的字词:

 

字词 派氏指数
类别 中英文字词句释义及详细解析
释义

派氏指数

又译“派许指数”、“帕舍指数”。以报告期某种经济指标作为同度量加权因素计算的综合指数。1874年由德国经济学家派许(Paasche, Hermann, 1851—1925)提出。分为派氏数量指数和派氏质量指数。
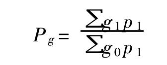
1. 派氏数量指数,是用于计算经济指标总体规模变动情况的一种指数,用于计算商品销售量指数、工业产品产量指数、职工人数指数等。以商品销售变动情况为例,派氏数量指数的计算公式为:

式中Pg为派氏数量指数,g0为基期商品销售量,g1为报告期商品销售量,p1为报告期商品价格,∑表示各种商品销售额加总。这里的计算是用报告期商品价格p1作为分子和分母的同度量加权因素,假定了商品价格在基期与报告期未变动,从而可以反映出商品销售量的数量变化。
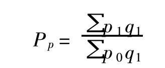
2. 派氏质量指数,是用于计算经济指标总体内涵量变动情况的一种指数,用于计算价格指数、工资水平指数、成本指数等。以派氏价格指数为例,计算公式为:

式中Pp为派氏价格指数,q1为报告期商品销售量,p0为基期价格,p1为报告期价格。这里的计算是用报告期商品销售量q1作为分子和分母的同度量加权因素,假定了商品销售量在基期与报告期未变动,从而可以反映商品价格的变化情况。派氏指数因按报告期商品销售量加权,每一个报告期的商品销售量是变化的,所以不利于连续编制价格指数,也不利于把环比指数换算为定基指数,但它比较接近报告期的实际情况。一般认为,派氏指数容易导致对通货膨胀的低估。在我国,GDP平减指数就是根据派氏指数编制的。
随便看

 

离鸟网收录3541549条中英文词条,其功能与新华字典、现代汉语词典、牛津高阶英汉词典等各类中英文词典类似,基本涵盖了全部常用中英文字词句的读音、释义及用法,是语言学习和写作的有利工具。

 

Copyright © 2004-2024 vtrois.com All Rights Reserved
更新时间:2026/4/9 13:17:17