网站首页  词典首页


请输入您要查询的字词:

 

字词 亚硫酸钠和硫代硫酸钠混合作漂白脱氧剂用量的计算
类别 中英文字词句释义及详细解析
释义 亚硫酸钠和硫代硫酸钠混合作漂白脱氧剂用量的计算

【说明】 在采用低纯度的亚硫酸钠或硫代硫酸钠作脱氯剂时,一般药品中均不同程度地彼此包含。而两者又都具有脱氯剂的作用,因此,在计算其用量时,就要分别计算,否则,只按一种计算,而忽略了另一种的脱氯作用,造成脱氯剂过量,而给洗涤带来不良影响。

根据式1-9-23和式1-9-25,设脱氯剂中亚硫酸钠含量为p1(%),硫代硫酸钠含量为p2(%),亚硫酸钠作用掉的有效氯为X(kg)(也可假设硫代硫酸钠作用掉的有效氯为Xkg),则硫代硫酸钠作用掉的有效氯为(W1-X)(kg),由此可得出下例两组计算公式。

【公式】 令亚硫酸钠作用掉的有效氯量为Xkg:

式中 W——混合脱氯剂用量(kg)

W1——漂后残氯量(kg),计算见式1-9-24

p1、p2——分别为脱氯剂中亚硫酸钠及硫代硫酸钠含量(%)

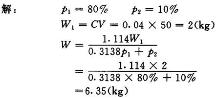
【例3】 某厂-50m3漂池,漂后残氯含量为0.04g/L,现用Na2SO3作脱氯剂,其纯度为80%,另含有Na2S2O310%,求漂白后脱氯剂的用量?

即混合脱氯剂的最低添加量为6.35kg

随便看

 

离鸟网收录3541549条中英文词条,其功能与新华字典、现代汉语词典、牛津高阶英汉词典等各类中英文词典类似,基本涵盖了全部常用中英文字词句的读音、释义及用法,是语言学习和写作的有利工具。

 

Copyright © 2004-2024 vtrois.com All Rights Reserved
更新时间:2026/4/7 15:34:16