交叉作业法
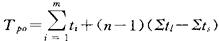
又称平行顺序移动方式。 一批零件在前道工序上尚未全部加工完毕,就将已加工好的一部分零件移送到下道工序去加工,并保证下道工序能连续加工的方式。是平行作业法和顺序作业法的结合。 其生产周期的计算公式如下:  式中Tpo为一批零件的生产周期;∑ti为所有较大工序(即单件加工时间比相邻前后工序都大的工序)单件加工时间之和;Σt]为所有较小工序(即单件加工时间比相邻前后工序都小的工序)单件加工时间之和;n为零件批量(件);m为工序数目;ti为零件在第i道工序上的单位加工时间。交叉作业法吸取了其他两种方法的优点,可以防止前后道工序供应脱节,使工人和设备有较充分的负荷,生产周期也适当缩短。 |