交变电流的“四值”
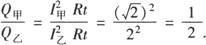
1.瞬时值:交变电流的瞬时值反映的是不同时刻交变电流大小和方向,正弦交变电流的瞬时值表达式为:i=Imsinωt. 2.最大值:交变电流的最大值反映的是交变电流大小的变化范围,当线圈平面与磁感线平行时,电动势最大,Em=NBSω,注意:此最大值与线圈的形状无关. 3.平均值:交变电流的平均值是交变电流图象的波形与横轴(t轴)所围面积跟时间的比值,其数值可用E=n△Φ/△t计算. 4.有效值:交变电流的有效值是根据电流的热效应规定的,即在同一时间内,跟某一交变电流使同一电阻产生相等热量的直流电的数值,叫该交变电流的有效值,正弦式电流的有效值和最大值之间的关系是 分析 (甲)图的正弦交流电的最大值为2A,有效值 (乙)图的方波交流电的电流大小不变,有效值I乙=2A,在相同的时间内,通过阻值相同的电阻产生的热量之比:  选择题B正确. 答 B. |