网站首页  词典首页


请输入您要查询的字词:

 

字词 消费者需求基本矩阵方程
类别 中英文字词句释义及详细解析
释义
消费者需求基本矩阵方程

消费者需求基本矩阵方程Consumer Demand Basic Matrix

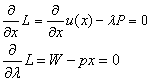
假定效用函数u(x)是二次连续可微分的, x∈X是消费丛,需求函数(p,w)定义为
(p,w)={x∈X px≤w,若px′≤W则x=x′或非x′=x}
其中价格p和财富w是预先给定的.那么经典最大化问题max{u(x)x∈X,px=w}的解就是x0=(p,w)。考虑对应的拉格朗日函数,由极值的一阶条件得到


对应于解x0=(p,w),可以解出λ的解用U表示u的海赛矩阵,U0为U在x0=(p,w)的值,一阶条件就化为
U0dx-λ0dp-pdλ=0
dw-pdx-x 0dp=0
写成矩阵形式就是


其中I是单位矩阵(K阶),这就是消费者需求基本矩阵方程。
☚ 非传统型消费者   尖端消费者 ☛
00000614
随便看

 

离鸟网收录3541549条中英文词条,其功能与新华字典、现代汉语词典、牛津高阶英汉词典等各类中英文词典类似,基本涵盖了全部常用中英文字词句的读音、释义及用法,是语言学习和写作的有利工具。

 

Copyright © 2004-2024 vtrois.com All Rights Reserved
更新时间:2026/4/9 14:25:48