网站首页  词典首页


请输入您要查询的字词:

 

字词 交流电路的功率
类别 中英文字词句释义及详细解析
释义 交流电路的功率

瞬时功率:交流电路中的电压u和电流i瞬时值的乘积。即

p=U·i (8.1-10)

有功功率:是电路实际消耗的功率,大小为一个周期内瞬时功率的平均值,故也称平均功率,其表达式为

P=UIcosφ (8.1-11)

式中cosφ称为电路的功率因数。

无功功率:是电源与负载间交换的功率,以Q表示,即

Q=UIsinφ (8.1-12)

无功功率的单位是乏或千乏,单位符号是Var或kVar。电路中的无功功率也等于电感的无功功率QL和电容的无功功率Qc的代数和,即

Q=QL+QC

式中QL取正值QC取负值。

视在功率:交流电路中电压有效值与电流有效值的乘积,以S表示。即

S=UI (8.1-13)

视在功率的单位是伏安或千伏安,用符号VA和kVA表示。

电路中有功功率和无功功率与视在功率间的关系为:

式中φ为电路中电压和电流的相位差,也称功率因数角。电路的功率因数可表示为

提高功率因数的方法:用电容与电感性负载并联。电容器的容量可由下式决定:

式中 U和P分别为感性负载的端电压和消耗的有功功率;ω为电源的频率;φ1和φ是并联电容器前后电路的功率因数角,其值可由并联电容器前后电路的功率因数求得。

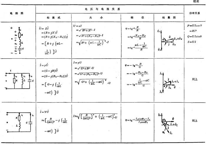
几种常见交流电路的电压与电流的关系及功率关系见表8.1-6。

表8.1-6 几种常见交流电路的电压与电流关系及功率关系

随便看

 

离鸟网收录3541549条中英文词条,其功能与新华字典、现代汉语词典、牛津高阶英汉词典等各类中英文词典类似,基本涵盖了全部常用中英文字词句的读音、释义及用法,是语言学习和写作的有利工具。

 

Copyright © 2004-2024 vtrois.com All Rights Reserved
更新时间:2026/4/5 19:06:15