网站首页  词典首页


请输入您要查询的字词:

 

字词 涤纶
类别 中英文字词句释义及详细解析
释义
各种织物

各种织物

织成的织物:组织
用缂丝法织成的织物:缂丝
用毛纺织成的织物:锦罽 毛织品
一种较厚的毛织物:呢(呢子;呢绒;毛呢;花~)
一种毛织品:罽(~衣)
藏产羊毛织品:毪(毪子) 氆氇
一种毛羽结成四周缀铃的织物:铃眊
用孔雀毛织成的毛料:雀金泥
草木纤维制成的织物:葛(~巾;毛~)
黑白相间的纺织品:
上面有一层绒毛的纺织品:绒(绒布;棉~;平~;丝~;灯心~)
光滑像缎的纺织品:羽缎 羽毛缎
有花纹图案的带状织物:花边
有云雾状底纹的织物:云雾
轻柔飘洒如云的织物:云缕
用针编织的物品:针织品
刺绣品:绣(湘~;蜀~;锦~)
古代女子的刺绣工艺品:闺绣画
某些合成纤维织物:纶(腈纶;涤~;锦~)
化学纤维的简称:纤(化纤)
一种斜纹纺织品:哔(哔叽;哔吱)
布面有斜纹的一种棉与化纤混纺的织品:咔其 咔叽
色泽明亮的织物:霜痕
华美的纺织品或衣服:文采
古代的一种名贵织物:织成

☚ 织物   各种颜色的丝织物 ☛

涤纶

即聚酯纤维。为合成纤维中使用最广的品种,纤维弹性好,强力高,用于衣着和产业用纺织品,纤维比重1.38,干强4.3~6.0。每1t短纤耗用PTA0.9t、乙二醇0.39t。1996年世界生产涤纶的主要国家和地区的产量(单位:万t):美国173.5、中国台湾210.9、韩国160.9、日本72.4。1999年中国生产涤纶444万t,其中短纤维157万t,长丝286.7万t。

涤纶

涤纶dilun

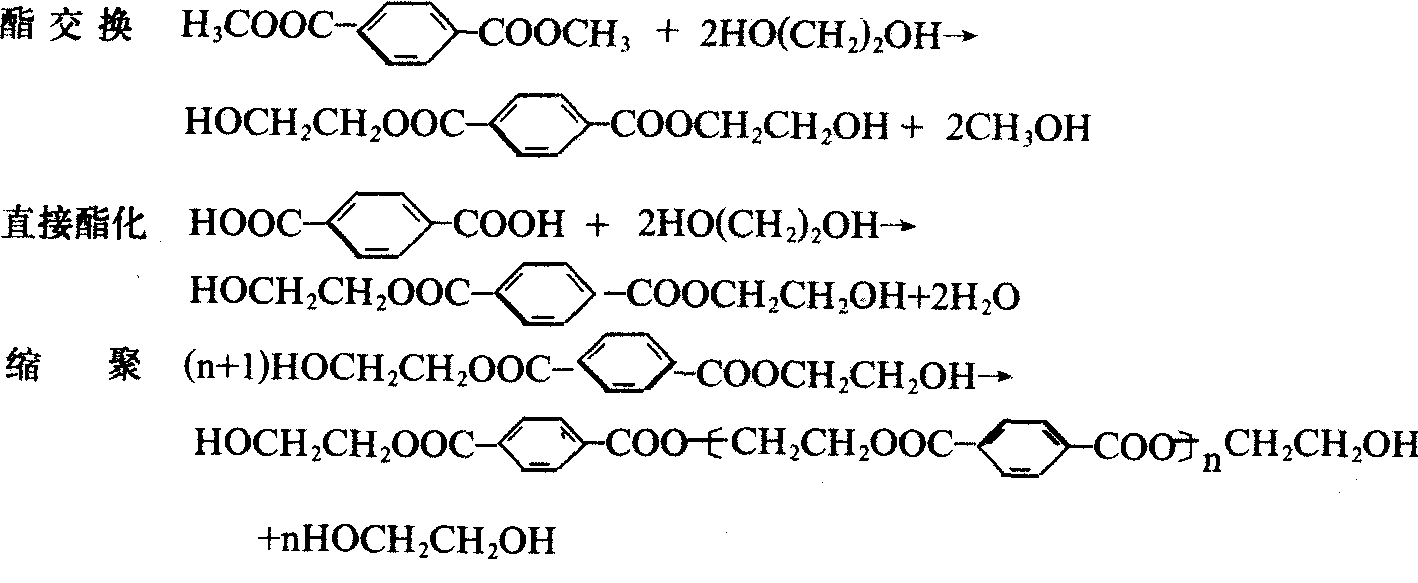
以聚酯(由多元醇和多元酸缩合而成的聚合物的统称,主链上含有酯基)为原料经熔体纺丝制得的合成纤维,聚酯纤维的主要品种是聚对苯二甲酸乙二酯纤维,我国称涤纶。工业上,聚对苯二甲酸乙二酯常采用酯交换法或直接酯化法生产。
❶酯交换法 将对苯二甲酸二甲酯和乙二醇(摩尔比为1:2.5)加入溶解釜,于150~160℃溶解。然后送入加有催化剂醋酸盐和三氧化二锑的酯交换釜中,在180~190℃进行酯交换反应。当甲醇馏出量为理论量的85%~95%时,结束酯交换反应,送入缩聚釜于270~280℃进行缩聚反应。若不再有乙二醇蒸出时,缩聚反应完成。用氮气压料、铸带、切粒,即得产品。
❷直接酯化法 将高纯的对苯二甲酸和乙二醇(摩尔比为1:1.3~1.8) 送入带有搅拌功能的真空缩聚釜中于200~250℃进行直接酯化反应。然后按酯交换法的条件进行缩聚。此法所得产品的热稳定性较好,易得高聚合度产物。反应式为:

采用熔体纺丝,所用树脂的平均相对分子量为19000~21000,热分解温度为 300~350℃,熔点为260℃。树脂切片经干燥除水后,加热熔融,通过喷丝孔挤出,在空气中冷却固化成纤维。
涤纶耐磨性是棉花的4倍,抗冲强度比锦纶高4倍,比粘胶纤维高40倍,抗张强度是棉花的2倍,比羊毛高3~4倍,还具有弹性好、耐皱折、耐日晒、耐化学腐蚀、不怕虫蛀等优良性能。但加工时易产生静电,染色和吸湿性差,需采用高温、高压,设备复杂,成本高。通过与其他组分共缩聚或共熔纺等途径加以改善。可与棉花、蚕丝、麻、粘胶纤维、腈纶、锦纶、羊毛混纺,如市售的涤棉(的确良)、涤丝、涤麻、涤粘、毛涤等混纺织品。大量用于服装、室内装饰。涤纶强力纤维主要用于制造传动带、滤布、工业绳索、轮胎帘子线、毛毯、渔网、电绝缘材料、人造血管、降落伞及其他军用品等。
☚ 维尼纶   化肥、农药 ☛

涤纶

即“聚脂纤维”。


涤纶

学名“聚对苯二甲酸乙二酯”。强度高,抗皱性、耐光性、化学稳定性、绝缘性均较高,吸湿性小,易洗快干。主要用作衣着用纤维、轮胎帘子布、电绝缘材料和绳索等。

涤纶

涤纶

指聚脂纤维,中国称绦纶。1940年由英国人丁·温菲尔德和丁·迪克逊用对苯二甲酸和乙二醇为原料,在实验室内研制成功。1941年正式生产。绦纶的拉伸性、回弹性和化学稳定性都很好。涤纶织物具有挺刮和易洗快干的优点。涤纶的耐晒强度比锦纶好,能抗微生物和霉烂,耐虫蛀,但吸湿性不及锦纶,且染色困难。绦纶采用熔体纺丝,纺丝速度在1300米/分之下。后来有一种高速纺绦纶长丝,纺速在3500米/分以上,不仅产量增加,而且由于纤维中大分子部分取向而使结构较稳定,纤维便于运输和贮藏。

☚ 涤棉   中长纤维 ☛

涤纶

聚脂纤维工业产品。

随便看

 

离鸟网收录3541549条中英文词条,其功能与新华字典、现代汉语词典、牛津高阶英汉词典等各类中英文词典类似,基本涵盖了全部常用中英文字词句的读音、释义及用法,是语言学习和写作的有利工具。

 

Copyright © 2004-2024 vtrois.com All Rights Reserved
更新时间:2026/4/8 21:57:59