产品价格需求弹性系数
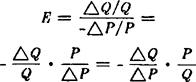
是用来衡量产品价格变化而引起的需求变化程度。 该系数的确定,对某种特定商品的需求预测是一种非常有用的辅助手段。价格变化不仅直接影响销售收入,同时还可以影响市场规模、产品批量、销售数量的上升与下降。在一般情况下,它可以说明产品本身的实际价格以及辅助性产品的价格是高还是低,或者说明竞争性产品的实际价格是低还是高。 产品价格需求弹性系数为需求变动率与价格变动率的比率,其公式为:  如设E为产品价格需求弹性系数P为价格,△P为价格变化量,Q为需求量,△Q为需求变化量,则公式为:  因为产品价格和需求呈反方向变化,故比值为负数。 只要求出价格需求弹性系数,便可根据价格下降(或上升)的情况,预测需求量的增加(或减少)。 |