网站首页  词典首页


请输入您要查询的字词:

 

字词 产品平均等级
类别 中英文字词句释义及详细解析
释义 产品平均等级

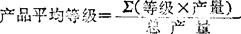
产品质量指标之一。将各种产品的等级分别与其相应的产量的乘积加总后再除以总产量即得产品平均等级,计算公式是:

产品平均等级是按产量加权的产品等级算术平均数

随便看

 

离鸟网收录3541549条中英文词条,其功能与新华字典、现代汉语词典、牛津高阶英汉词典等各类中英文词典类似,基本涵盖了全部常用中英文字词句的读音、释义及用法,是语言学习和写作的有利工具。

 

Copyright © 2004-2024 vtrois.com All Rights Reserved
更新时间:2026/4/8 2:09:46