网站首页  词典首页


请输入您要查询的字词:

 

字词 人参
类别 中英文字词句释义及详细解析
释义 人参

【名称出处】:《本经》

【概况】:

异名 人参(野生品),园参(栽培品),棒槌(东北)。

基源 为五加科人参属植物人参的根。人参属约5种,分布于北美、中亚和东亚,中国有人参、三七、珠子参、竹节参等3种和1变种,均为名贵药材,另有西洋参系由北美引进栽培。

原植物 人参Panax ginseng C.A.Mey.(Panax schin-seng Nees)

历史 人参始载于《本经》,列为上品。因根如人形而得名。

历代本草均有记载。《别录》谓:“人参生上党山谷及辽东,二月四月八月上旬采根,竹刀刮曝干。”陶宏景又谓:“人参易蛀蛀唯纳新器中密封,可经年不坏。”《图经本草》谓:“春生苗,多于深山,背阴,近椴漆下湿润处,初生小者三四寸许,一桠五叶,四五年后,生两桠五叶,未有花茎,至十年后生三桠,年深者,生四桠,各五叶,中心生一茎,三月四月有花,细小如粟,蕊如丝,紫白色,秋后结子,或七八枚,如大豆,生青熟红,自落”。所述皆与今之人参相符,唯野生品资源较少,现多为人工栽培品。

形态 多年生草本,高30~60cm。根茎短,每年增生一节,通称芦头,主根肉质,粗壮,圆柱形或纺锤形,下部分歧,外皮淡黄色。茎单一,直立,不分枝,无毛。

掌状复叶轮生于茎顶,叶柄长3~8cm;叶片具3~5枚小叶,通常一年生者生1片3出复叶,二年生者生1片5出复叶,以后每年递增1叶,最多可达6片复叶,中央小叶片椭圆形至长椭圆形或微呈倒卵形,长8~12cm,宽3~5cm,最外一对侧生小叶片卵形或卵状菱形,长2~4cm,宽1.3~3cm,先端长渐尖,基部阔楔形,下延,边缘有锯齿,齿有刺尖,上面散生少数刚毛,下面无毛;小叶柄长0.5~2.5cm。伞形花序单个顶生,直径约1.5cm,有花30~50朵,稀5~6朵,总花梗通常比叶长,长15~30cm,花萼有5个三角形小齿;花瓣5,淡黄绿色,卵状三角形;雌蕊5;子房下位,2室,花柱上部2裂,花盘杯状。

核果浆果状,扁球形,直径5~9mm,鲜红色。种子2粒,肾形,乳白色。

花期6~7月、果期7~9月。(图见《中药志》.第1册.彩图1)

生境与分布 生于海拔数百米的落叶阔叶林或针叶阔叶混交林下。

产于黑龙江、吉林、辽宁和河北北部深山中,现辽宁和吉林有大量栽培。。

【生药】:

栽培 适于冷凉湿润气候,耐寒。

宜斜射光及漫射光,忌强光和高温。适宜生长温度为20~25℃。对土壤选择较严,以排水良好、富含腐殖质的中性或微酸性砂质壤土为好,碱性土壤不宜种植。

忌连作。用种子繁殖,育苗移栽。 播种 分春播、夏播和秋播。夏播用成熟果实搓洗出的鲜籽,即随采随播;秋播于10月中、下旬,春播在4月上中旬。播前种子须催芽,即将种子与砂(1∶1)混匀后放入坑内,覆土7~10cm,保持土壤水分在10%~15%,约2个月后种子有裂口,即可撒播或点播,株行距各5cm,播后覆土3~5cm,保持土壤湿润,约至5月上旬出苗。

撒播每平方米用干种子30~40g,鲜种子40~50g。

移栽 育苗2~3年后,于秋季(10月中旬至11月上旬)或春季(3月下旬至4月下旬)移栽。

移栽时选根健壮、须芦完整、芽苞肥大而无病参苗,用65%代森锌可湿性粉剂100倍液浸渍10分钟,按大小分等分别栽植,行距17~23cm,株距10cm左右,参苗斜栽,芽苞朝北,根须平展朝南,与畦面呈30度角,覆土5~7cm。

田间管理:人参宜湿怕涝。

出苗前须搭荫棚。棚架高低视参龄大小而定,前檐高1.0~1.5m,后檐高0.6~1.2cm。架上盖草帘或木板,参床两头也用帘子挡住。

每年参床松土除草多次;秋季植株枯萎后,畦面清除枯枝残叶,并用草覆盖,以保湿、保温、防冻;四年生以上的人参,现蕾时及时摘除,以利根部发育。

病虫害防治 早春苗期有立枯病、猝倒病发生,可用70%五氯硝基苯粉剂200倍液浇灌病区,浇灌后参叶用清水淋洗。成株期主要病害有斑点病、疫病、炭疽病,以雨季为发病盛期,可喷射11120的波尔多液,于展叶后喷第一次,每年喷3~4次。

根部主要病害有菌核病,于初春发生;诱腐病则在生育期中均有发生,可于种植前用2%福尔马林进行土壤消毒,发病期用50%多菌灵可湿性粉剂500~1000倍液淋灌。

采集 ❶ 园参 9~10月间采挖生长6年以上的人参。

用镐细心地刨起防止断根和伤根,去掉泥土,再行加工。

新鲜品称“园参水子。”新鲜的移山参称“移山参水子。”
❷ 野山参 5~9月间采挖。

用骨针拨松泥土,将根及须根细心拨出,防止折断,去净泥土、茎叶。新鲜品称“野山参水子。”

贮藏 密闭,置阴凉干燥处,防霉,防蛀。

加工炮制 人参加工法主要分红参类、糖参类、生晒参类及其它类4种。

❶ 红参类 取园参水子剪去支根及须根,洗刷干净,蒸2~3小时,至参根呈黄色,皮呈半透明状为宜,取出烘干或晒干。主要成品有红参、边条参等。

加工时,去芦头,蒸软或稍浸后烤软,切薄片干燥,或直接捣碎碾粉。
❷ 糖参类 取鲜参洗刷干净,置沸水中浸泡3~7分钟,捞出,再入凉水中浸泡10分钟左右,取出晒干,再经硫黄熏过。

然后用特制的针沿参体平行及垂直的方向扎小孔,浸入浓糖汁(100ml水溶135g糖)中24小时。取出后曝晒1天,再用湿毛巾打潮,使其软化,进行第2次扎孔,再次浸入浓糖汁中24小时。取出后冲去浮糖,晒干或烤干。主要成品有白人参(为园参水子或移出参水子的加工品)、糖参(为各种鲜参的加工品)等。

加工时,去芦头,切段。
❸ 生晒参类 取鲜参洗刷干净,日晒1天后,再用硫黄熏过晒干而成,主要成品有生晒参,全须生晒参、白干参等。加工时,去芦头,润透,切薄片,干燥,或捣碎。
❹ 其它类 掐皮参:加工方法与糖参相似,一般将参体浸沸水中3次,每次1~2分钟。

经扎孔后放入较稀的糖汁中浸3次,取出微火烘烤,使皮与内部分离,再用竹刀轻扎外皮,使成点状即成。大力参:取鲜参在沸水中浸煮片刻后晒干。

鉴别

性状 ❶ 生晒参 主根圆柱形或纺缍形,长3~15cm,直径1~2cm,表面淡黄白色或淡灰黄色,有明显纵皱纹,上部或全体有疏浅断续的横纹,下部常有支根2~3条及少数细侧根,长约至12cm,有少数横长皮孔;根茎(芦头)较短细,长1~5.5cm,直径3~15cm,上有茎痕(芦碗)数个,呈凹窝状,交互排列,有时具细长横伸的不定根(责)。全须生晒参著生多数须状细根,有的具细小不明显的疣状突起(现代珍珠疙瘩)。

主根质较硬,折断面平坦,淡黄白色,形成层环棕黄色,皮部有黄棕色点状树脂道及多数放射状裂隙;须根质脆。

气特异,微香,味微苦、甘。

❷ 红参 根形与生晒参相似,但无细根。表面棕红色,半透明,有时上部带黄色,有纵沟、皱纹及细根痕,下部有2~3条扭曲的侧根。

质硬脆。断面平坦,角质样,中心巴较浅。
❸ 生晒山参 主根与根茎等长或稍短,呈圆柱形或具2条短纺锤形支根,呈人字形,主根长2~10cm,直径1~2cm;表面灰黄色,细腻,有浅纵皱,上部有细密环纹。

根茎具多数密集的芦碗与纺锤形下垂的,细根疏散长须状,长约为主根的1~2倍,质柔韧,珍珠疙瘩较多而明显。

均以条粗、质硬、完整者为佳。

显微 本品横切面:木栓层为数列细胞。皮层窄。韧皮部外侧有裂隙,内侧薄壁细胞排列较紧密,有树脂道散在,内含黄色分泌物,每个韧皮部束常有2~3(~5)个树脂道径向排列。

形成层成环。

木质部射线宽广,导管单个散在或数个相聚,断续排列成放射状,导管旁偶有非木化的纤维。薄壁细胞含草酸钙簇晶。(图见《生药学》教材.277~8页.图125,126) 粉末:米黄色,有香气,味微甘、辛,有吸湿性。

❶ 树脂道纵断面或横断面碎片易见。直径(内径)34~110μm,稀有更大的,腔道中含金黄色或黄棕色块状分泌物,周围分泌细胞中含颗粒状物或油滴。
❷ 草酸钙簇晶直径20~86μm,棱角大多锐尖,稀有呈钝角的。
❸ 淀粉粒极多,单粒类圆形,直径2~19μm,脐点点状、人字状、裂缝状或三叉状,层纹不明显;复粒大小不一,由2~6分粒组成。

❹ 导管主为网纹、梯纹导管,少数为螺纹导管,直径17~51μm,网纹导管的纹孔,宽至7μm。
❺ 木栓细胞无色或淡黄色。

表面观呈类方形、类长方形或多角形,壁薄,细波状弯曲,非木化或微木化。
❻ 木薄壁细胞呈长方形或类方形,表面偶见微细的斜向交错的纹理。(图见《中药材粉末显微鉴定》.图1)

理化 人参的薄层色谱 ❶ 总皂甙的薄层色谱1)取样品粉末2g,加甲醇25rnl,放置过夜,加热回流6小时,放冷,滤过,取滤液12.5ml,蒸干,溶于15ml水中,用乙醚提取2~3次,弃去醚液,水层再用饱和的正丁醇提取4次,提取液水洗2~3次,弃去醚液,水层再用饱和的正丁醇提取4次,提取液水洗2~3次,减压浓缩至干,残渣用甲醇2ml溶解,点于硅胶G板上,以正丁醇-乙酸乙酯-水(4∶1∶5)为展开剂,以标准品人参皂甙Rd、Rg1、Rf为对照。展距11cm,用硫酸-水(1∶1)喷雾后,于105℃烤10分钟,斑点显不同程度紫色,置紫外光灯(365nm)下检视,斑点分别显黄、紫、橙色。(图见《中药材薄层色谱鉴别》图86-1A) 2)取样品粉末2g,加乙醚80ml,水浴回流提取6小时,提取液浓缩至干,残渣用水和甲醇(1∶1)溶解,点于硅胶GF254板上,以正丁醇乙酸乙酯-水(4∶1∶1)为展开剂,以标准品人参皂甙Rb2、c、d、e为对照。展开后.用10%硫酸显色。

(图见《中药材薄层色谱鉴别》.图86-1B)❷ 皂甙元的薄层色谱 取样品粉末1g,加7%硫酸乙醇-水(13)溶液10ml,加热回流2小时,放冷后,用氯仿振摇提取3次(10、5、5ml),氯仿液以水振摇洗涤,蒸干氯仿-乙醚(1∶1)为展开剂,以标准品人参三醇、人参二醇、齐墩果酸为对照。展距11.5cm,用硫酸-水(1∶1)喷雾显色。

(图见《中药材薄层色谱鉴别》.图86-2)

贮藏 密闭,置阴凉干燥处,防霉,防蛀。

。【化学】:

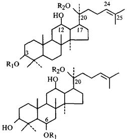
含三萜甙类成分,已经从白参和红参中分离并鉴定的有29种:人参皂甙(Ginsenoside)-R0、-Ra1、-Ra2、Ra3、-Rb1、-Rb2、-Rb3、Rc、-Rd、- Re、-Rf、20gluco-Rf、Rg1、-Rg2、20(R)-Rg2、-Rg3、20R-Rg3、-Rh1、20(R)-Rh1、-Rh2、-Rs1、-Rs2,人参皂甙-Rb1、-Rb2、-Rc及-Rd的丙二酸酯(MRb1、MRb2、MRc、MRd)以及三七皂甙(Notoginsenoside)-R1、-R4(NR1,NR4),西洋参皂甙(Quinquenoside)-R1(QR1)。

另含麦芽醇葡萄糖甙(2-Methy1-4-pyranone-3-O-β-glucoside)[1、2]。其三萜甙类按其甙元的结构,可分为三大类: ❶ 20(S)-原人参二醇(R1、R2=H)类: glc葡萄糖基,ara阿拉伯糖基,xyl木糖基,rha鼠李糖基,p吡喃糖基,f呋喃糖基,Ac乙酰基,M丙二酰基,glcUA葡萄糖醛酸基。

❷ 20(S)-原人参三醇(R1,R2=H)类:
❸ 齐墩果酸类,主要有:人参皂甙-Ro

新鲜人参、白参中人参皂甙为20(S)型,未检出有人参皂甙-Rh2、-Rs1及-Rs2,也未确切检出三七皂甙-NR4;而红参则未见有丙二酰基人参皂甙-MRb1、-MRb2、-MRc及-MRd,但另有-20(R)型人参皂甙-Rg3、-Rg2及-Rh1

20(R)型人参皂甙是由于加工红参过程中,由相应的20(S)型人参皂甙转化产生的。人参皂甙-Rh2、20(R)-Rh2在体外试验,具有抗癌活性[1-4]

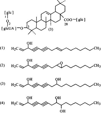
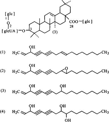
从人参的低极性部位,在鲜人参、白参中检出人参炔醇(Panaxyno1)(1)、人参醚醇(Panaxydol)(2),在加工成红参后,还含有人参炔二醇(Heptadec-l-ene-4,6-diyne-3,9-diol(3)及人参炔三醇(Panaxytriol)(4)。在鲜人参和红参中,还含有甘油半乳糖酯类化合物及甾醇葡萄糖脂肪酸类化合物[5]

此外,还分离出β-谷甾醇、豆甾醇、菜油甾醇及β-谷甾醇葡萄糖甙(Daucosterin)。 人参还含有挥发油,从油中检出十八种成分,主要有:α-愈创烯(α-Guaiene)、β-广藿香烯(β-Patchoulene)、反式丁香烯(Trans-caryophyllene)、蛇麻烯(Humulene)、艾里莫酚烯(Eremophilene)、β-金合欢烯(β-Farnesene)、十七烷醇-1(1-Heptadecanol)。

从人参中分离出的有机酸有:延胡索酸、琥珀酸、马来酸、苹果酸、枸橼酸、酒石酸、硬脂酸及亚油酸。

人参中含有十余种氨基酸,主要有苏氨酸、脯氨酸、精氨酸、赖氨酸、丙氨酸等。

人参中含有多种多肽[6],其中之一为下列14种氨基酸所组成:[天门冬氨酸(2)、苏氨酸(1)、谷氨酸(3)、甘氨酸(3)、丙氨酸(1)、缬氨酸(1)、丝氨酸(1)、异亮氨酸(1)、亮氨酸(1)][9]。在人参水溶性部分还有L-β草酰-α,β-二氨基丙酸(L-β-Oxalo-α,β-diamino propionic acid)及L-α-草酰-α,β-二氨基丙酸,前者具有神经兴奋毒及止血活性[10],另有γ-氨基丁酸(GABA),为一抑制神经传递剂。

人参中含有的糖类成分有:葡萄糖、果糖、阿拉伯糖、木糖、蔗糖、麦芽糖、人参三糖(Panose)A、B、C、D和人参多糖。

人参中的无机元素以P和S较多,K、Ca、Mg亦较多,Na、Fe、Al、S1、Ba、Sr、Mn、Ti等含量较少,还含有微量的Ge、As、Cu、Zn、Cd等。

人参根中尚含有数种生物碱类物质:N9-甲酰哈尔满(N9-Formylhaman)、乙基β卡啉1-羧酯(Ethyl-β-carboline-l-carboxylate)及Perlolyrine[8]

参考文献 [1] 云南植物研究,1988:增刊1(Supp,1)47 [2] Abstracts of Chinese Medicines 1986;1(1);130 [3] 沈阳药学院学报 1989;6(4):286 [4] 中国中药杂志 1989;14(6):3.1989;14(10):52 [5] 药学杂志(日) 1987;107:495(CA 1987;107: 205003C) [6] UNESCO Regional Seminar on Chemistry of Bioactive Natural Products Abstracts,0-5、0-6,Shanghai,1991;11:6~8 [7] Chinese Chemical Lettets,1990;1(1):51 [8] Arch Pharm Res 1986;9(1):21(CA 1986;105:57927y) [9] 中国药学年鉴(1991).人民卫生出版社,1991:62 [10] 中国学快报 1992;3(1):5

【药理】:

人参具有广泛的药理作用。

❶ 对神经系统的影响 1)本世纪初,日本学者即报告人参提取物给于动物,小剂量时兴奋、大剂量时抑制中枢神经系统。根据经典的条件反射方法的研究,人参主要是加强大脑皮层的兴奋过程,同时也略能加强抑制过程,改善神经活动过程的灵活性。

对动物有显著的抗疲劳作用。

对提高人的一般脑力和体力,虽有报告,但缺乏严格的对照。

人参粗制剂对猫的脑电图,既可产生同步化作用(抑制),又可增强兴奋剂的异步化作用,且可使癫痫性脑电波——棘波泛化,即有兴奋作用。Siegcl(1980)报告恒河猴每日摄食约10g1参粉后,其叫声、活动都明显增加,体重减轻。

对中枢神经系统兴的作用的强弱,与摄食的人参剂量有关,这种行为的改变与人长期服用人参引起的“滥用人参综合症”部分相似[1~3]。 上述试验由于所用制剂较粗,所含成分不定,试验方法及影响因素的控制不严,使结果常不恒定。

在近代的研究中,多采用人参总皂甙乃至单体皂甙进行研究。

总甙在小剂量时(ip 2.5-5.0mg/kg),对中枢神经系统有兴奋作用(为自发活动、探究反应增加等),大剂量(100mg/kg)时则转为抑制,根据多项实验指标,包括倾斜板、降温、解热、催眠、镇痛、抗惊厥、格斗、条件性回避实验等,Rb1对中枢神经系统有抑制作用,而Rg1则有轻度的兴奋作用;但某些实验报告之间尚有差异,有待进一步分析[3]。 2)对学习与记忆的影响 Кегков(1978)用人参干浸膏20mg/kg(相当生药100mg/kg)给大鼠1g,连续了3d,用迷宫法进行条件反射的形成、消退及反射潜伏期的观察,证明大鼠的学习记忆能力都得到明显增强。但剂量增加5倍后,效果反而降低。

近年(1987)报告,迷宫法试验中,促进大鼠学习及记忆的最佳剂量为10mg/kg(主动性逃避反应)或30mg/kg(被动性躲避),100mg/kg时则增加朝向反应,使剂量-反应曲线呈倒钟形[4]。茎叶总皂甙50~200mg/kgip,对小鼠(跳台、水迷宫试验)由樟柳碱造成的记忆获得障碍、环己酰亚胺造成的记忆巩固不良均有效,但对乙醇造成的记忆再现缺失则无效[6]

人参的此作用优于三七[7]。另一报告用茎叶总皂甙给大鼠ip 30mg/kg,共5d,可提高在迷宫试验中条件性回避反应的出现率及分辨学习的正确率[8]

如以一组小鼠突遇另一组外来小鼠之攻击行为,所作的反应作指标,则人参根总皂甙(25、50、100mg/kg)或Rb1(2.5、5.0、10mg/kg)ip后,有剂量依赖性的抑制作用,而Rg1则无效[9]。70年代日学者报告-Rg1有促进小鼠在迷宫试验中的学习和辨别的作用,Rb1则相反,能抑制已建立的条件反射,使反射潜伏期延长,辨别失败[2]

但根据张均田氏报告[5,21],Rb1和Rg1对记忆的巩固(即长记忆)均有促进作用;Rg1促进记忆的获得、巩固和再现,Rb1则主要改善记忆的获得和再现。 3)对脑内神经递质的影响 Нетков(1978)报道人参干浸膏小剂量(50mg/kg)ip连续5d能使脑干的多巴胺(DA)、去甲肾上腺素(NE)增加,5HT减少;更小剂量(30mg/kg,3d还可增高大脑的腺苷环化酶的活性,而大剂量(200mg/kg)反而使大脑、脑干中该酶的活性降低,脑干中cAMP含量降低[2,3],茎叶总皂甙50ml/kgip6d后,可增加小鼠全脑NE含量[10]根总皂甙70mg/kg ip 40min后,大鼠内γ-氨基丁酸(GABA)含量降低,谷氨酸和天冬氨酸的含量不变[11]。应该注意,脑内NE、DA含量均有明显的昼夜节律改变:夜间ip根总皂甙反可使小鼠脑内的NE含量降低,只在某一特定时间(12∶00)注射,才能轻度升高脑内DA含量[12]。因此在应用上述实验结果时,必需注意实验时的各种条件。对脑内突触对递质的摄取,人参正丁醇提取物有抑制作用,其强度为:GABA>Glu(谷氨酸)≥DA>NE=5HT,因此人参与脑内GABA系统的关系,也应引起注意[13]。在应激条件下,如减压低氧、热应激(45℃,20或15min)、冷应激(一2~-4℃,1h)时,脑内乙酰胆碱(Ach)水平均有较明显降低,用人参总皂甙ip(100mg/kg),均有较明显的上升,甚至恢复到原水平。

对NE、DA、5HT、5HIAA水平在应激后的降低,用药后也有适当的提高,特别是冷应激引起的水平降低,人参根总皂甙小剂量(50~100mg/kg,小鼠tg)即可使其回升;热应激时一般需较大剂量(200mg/kg ip),才有效果。一般对GABA、谷氨酸等脑内水平,人参此时并无影响。血清皮质酮水平则在应激后升高的基础上,用药后进一步的升高[14~16]。 4)对脑内受体的影响 Rb1和Rg1对大鼠脑内α1、α2、Ach、5HT、DA、GABA受体及红细胞的β-受体,均无特殊亲和力;但给动物ip Rb1、Rg1、50或25mg/kg,5d后,可使小鼠脑内M胆碱受体密度显著增高。

还证明了Rb1及Rg1能增加脑内蛋白质的含量,这样可使受体的合成加速[21]。在对鸡胚脑神经细胞进行体外培养的d3或d5给人参皂甙(87μg/ml),可使培养的d10或d14的神经细胞的胆碱酯酶活性显著增强,作者认为这可能是因为人参促进了神经系统的分化成熟、分裂增殖和存活的结果[22]

另外一个值得注意的是,对切除肾上腺及卵巢的大鼠,每日ip人参皂甙0.5mg,7d后,的放射自显影法,可证明脑组织结合3H-皮质酮的能力较对照组增强数倍至数十倍,以海马区结合最多[3]。在大鼠离体子宫的试验中,也证明人参对糖皮质激素受体,有很强的亲和力,这提示人参的很多作用,可能与类固醇受体有密切关系[23]

5)对脑内ATP酶活性的影响 整体试验,茎叶总皂甙400mg/kg ip,和氯丙嗪10mg/kg一样,能抑制大鼠大脑微粒体、Na+-K+-ATP酶的活性[19]。体外试验,在0.1~1.0mg/ml时,茎叶总皂甙抑制兔大脑微粒体,Na+-K+-ATP酶和Ca2+-ATP酶的活性,对Mg2+-ATP酶也具有抑制作用;二醇组皂甙和三醇组皂甙在0.05~0.5mg/ml时,也能抑制Na+-K+-ATP酶[17,18],对免纹状体中此酶的抑制,三醇组皂甙似强于二醇组皂甙,对纹状体的Ca2+-ATP酶,则二醇组皂甙在0.01mg/ml)则转为抑制;三醇组皂甙则高、低浓度时均呈抑制作用。对于Mg2+一ATP酶,二醇组皂甙在0.1mg/ml时可有兴奋效应,而三醇组皂甙则为抑制[19]。用单体皂甙作体外试验,Rb1对大鼠脑微粒体Na+-K+-ATP酶有明显的抑制,其IC50为6.3μmol/L,抑酶作用是可逆的,为底物的反竞争型抑制剂,Rg1抑酶作用很弱,大剂量(1mmol/L)呈激活作用[20]

上述试验说明,对人参影响中枢神经系统的作用机理,已进行了较深入的探讨,但这些研究结果的确切含义,正等待作进一步的分析。
❷ 对内分泌系统的影响与抗应激作用 1)对神经-垂体-肾上腺皮质系统的影响 一般认为,人参并无肾上腺皮质激素样作用,但对垂体一肾上腺皮质系统都有刺激作用。

早年报告[24],人参根的水提取物对上述系统的阴性结果,乃由于有效成分(皂甙)含量不足所致。

用茎叶的乙醇提取物(10g/kg po或1g/kg ip)或直接用皂甙(果)30mg/kg ip均可使大鼠肾上腺内维生素C含量降低。

单体皂甙Rb1、Rb2、Rc、Rd和Re35mg/kg ip,30min后均有升高大鼠血浆皮质酮的作用。此作用是通过垂体释放ACTH(注射人参皂甙后,血浆中ACTH的升高与皮质酮的变化相平行,即60min达峰值),增加肾上腺cAMP含量而实现的,切除垂体后即无效果。作用于皮层或下丘脑较高部位的戊巴比妥钠和吗啡不能阻止茎叶乙醇提取释放ACTH的作用,而可的松却能完全阻止这一效应。用组织化学的方法证明,给人参皂甙(8mg/kg ip 4wk后)可使大鼠下丘脑视上核和室旁核的神经分泌功能增强。

但在另一方面,即应激状态下,垂体-上腺皮质系统的功能已经低下时,人参非但不再表现刺激作用,反而有某种保护和促进本系统功能的恢复。如给大鼠应激(绑缚不动)或sc ACTH,观察肾上腺内维生素C、胆固醇等含量的变化。给予人参皂甙后的动物,上述含量降低均不如对照组明显;在形态改变方面的情况亦相类似,即人参能使已经发生机能衰竭的肾上腺皮质,功能较快的恢复正常,这就是所谓的“适应原样”(Adaptogen)作用[3]。实际上适应原样作用,还是相当复杂的,对得出这种概念的根据,即研究结果和当时的各种实验条件,仔细的加以分析。

如不采用肾上腺内维生素C含量变化这个间接指标,而直接测定血浆皮质酮水平时,人参皂甙(100mg/kg ip)对应激动物(减压低氧小鼠及热应激大鼠)已升高的血浆皮质酮水平,可进一步升高[11,14]。而在另一种应激状态(热应激小鼠),人参则使已升高的血浆皮质酮水平,有所下降[15]

更需注意的是,血浆皮质酮水平有明显的昼夜节律。人参的作用,同样也有明显的昼夜节律,07∶00给药,作用最明显,而19.00或23000给药,则效果最差[25],皮质酮的昼夜节律模式也发生明显改变。各单体皂甙在这方面的作用强度也不一致(Rc>Rd、Rb2>Rb1>Re),都应加以考虑。总之,人参皂甙能激活垂体-肾上腺皮质系统,因而能改善机体的应激状态,增加对非特异性刺激的抵抗力。

已知不论是物理性的(寒冷、过热、辐射、持续游泳、跑动)、化学性的(毒物,如士的宁、四氯化碳、对磷酸三甲苯酯、戊巴比妥钠、洋地黄总甙或苯肼、大量可的松、缺氧)还是生物学的(细菌、肿瘤)伤害,人参对机体的防御能力,均有某种程度的增强。抗应激的有效成分,一般认为即人参皂甙。人参皂甙抗疲劳的作用强度较人参粗制剂强10~100倍[3]

过去在这方面的研究中,所用的观察指标(多为鼠肾上腺内维生素C含量的改变、生存时间)、实验的方法,所用的制剂(水、醇提取物或总皂甙)不够精细,特别是机体在应激反应中神经-内分泌间的关系上的认识水平有待深化。已知肾上腺皮质激素、ACTH具有明显的抗应激作用,人参又可明显增加其分泌量,并增强其与脑细胞的结合量,因此提出人参的抗应激作用是活化ACTH型精神激素而来,是很自然的[27]。并值得进一步深入探讨。

2)人参无性激素作用,而能兴奋垂体分泌促性腺激素加速大鼠的性成熟过程,或使已成熟的雌性大鼠的动情期延长,单体皂甙也都有促性激素样作用[13]。人参组分GN4可使体外培养的大鼠睾丸组织的DNA和蛋白质合成增加[2]

体外试验,对培养3d后的大鼠腺垂体细胞,二醇组人参皂甙在10-10~10-3g/ml时,能增加LH的分泌,单体皂甙-Rb1亦有轻度增加作用:Rg1虽不增加LH的分泌,却能轻度增加FSH(促卵泡激素)的分泌[28]。早年报告,人参短期的大剂量应用,可增强兔的甲状腺功能(通过中枢神经系统),较长期应用则可抑制大鼠的甲状腺功能[1,3]

近年有报告,茎叶皂甙30mg/kg im 13~24d后,可升高大鼠血清T3水平而使T4水平下降[29]。也有报告人po红参4.5~6g后,血糖有所降低,而T3、T4则无明显变化。

总之,因研究得不够,对甲状腺功能的影响,目前尚难定论[3]。 据报告人参能抑制产归乳汁的分泌,但对大鼠的整体及离体试验中,人参皂甙却能刺激垂体前叶释放催乳素[3]

❸ 对物质代谢的影响 1)对糖代谢的影响 人参根或茎叶的粗制剂在大剂量po时,能降低因注射肾上腺素、葡萄糖引起的动物高血糖。对四氧嘧啶糖尿病犬或雄性大鼠,有某些保护作用[3]。总皂甙ip也同样有效,但起效轻慢,剂量较大,因此人参根中除皂甙外,还有其它影响血糖成分[3]。Kimura 1981年从人参根中分离出一种胰岛素样物质,在离体试验中使大鼠胰脏释放胰岛素量增加,此时胰脏的cAMP水平高,并与Ca2+存在有密切关系;还能明显抑制肾上腺素等诱发脂纺组织的脂解作用。

本成分降低四氧嘧啶糖尿病小鼠血糖的作用,较一般水提物质强100倍。后又由此分出二个纯品,一个为由14个氨基酸组成的酸性多肽,(分子量1400),另一个为腺嘌呤核苷[7]。中国张今也从人参根中分出一种14肽,与前者不同的是无亮氨酸,而由异亮氨酸代之。按50、100、200mg/kg给大鼠一次iv或小鼠多次sc,能降低正常血糖和肝糖原,但对总血脂无明显影响;对肾上腺素、四氧嘧啶及葡萄糖引起的高血糖均有抑制作用,并能增强肾上腺素对肝糖原的分解。其降血糖作用的原理除了促进糖分解(激动肝细胞膜上的α、β受体)或抑制乳酸合成肝糖原外,主要由于其刺激了琥珀酸脱氢及细胞色素氧化酶的活性,促进了糖的有氧氧化,这与双胍类降糖药不同,不会升高血乳酸含量[30]。另外从人参根中还分离出纯化单体人参多糖,Mr为4500,由半乳糖醛酸和阿拉伯糖组成。

在50~200mg/kg给小鼠注射后可降低血糖及肝糖原,它能抑制乳酸脱氢酶,还可增强琥珀酸脱氢酶及细胞色素氧化酶的活性,对胰岛素的释放,有轻度促进作用[31,32]。也有认为单体皂甙Rb210mg/只/d ip 6d后,对链脲佐菌素(Streptoztocin)糖尿病大鼠血糖降低,肝中碳水化物及糖代谢趋向正常,改善高脂血症,降低血尿素氮,减轻多食、多尿等症状。对正常大鼠肝糖原分解、糖酵解及脂肪生成有促进作用[33]。有报告总皂甙本身可促进大鼠胰脏(离体)释放胰岛素,并促进葡萄糖引起的胰岛素释放,此不依赖于胞外钙,故其机制与葡萄糖不同[34]。对肝糖原含量,则人参的作用较为复杂,总皂甙剂量在70mg/kg以上ip后4h,可见小鼠糖原的降低,对饥饿小鼠则可提高其含量[35]。对高脂、高蛋白饲料时,皂甙无上述作用,作此类试验时还应注意昼夜节律的改变[3]

2)对蛋白质、核酸代谢的影响 早年即有报告人参可促进大鼠蛋白质的合成、增进食欲、增加体重。70年代后大浦彦吉等用标记的乳清酸、亮氨酸参入法,测定了人参不同组分对鼠肝、血清及其它组织中核酸、蛋白质代谢的影响。

他们的工作相当系统、深入,并提出人参的“强壮”作用,应归之于其中所含的一种组分,取名为“蛋白质合成促进因子(Prosusol)。它能促进机体各器官组织的RNA和蛋白质的合成。

这主要是人参皂甙,它首先使大鼠肝细胞核DNA依赖性RNA多聚酶的活性增强,促进标记的乳清酸参入肝细胞核RNA中,此又引起细胞质内粗面内质网膜附著型重多聚核糖体及分泌性蛋白质合成增加,特别是血清白蛋白、免疫球蛋白。对细胞分裂活跃的器官组织(如骨髓和睾丸),它还能促进DNA的合成。在单体皂甙的作用上,过去的报告尚有些不一致。在3H-亮氨酸参入小鼠血清蛋白的试验中,以Rd最强,Rb2、Rc、Rc2、Re、Rg1也有效;Rb1无效。但在14C-亮氨酸参入大鼠血清蛋白的试验中,以Rb1最强,Rc次之,Rg1几乎无效。

应该注意,标记前体物参入试验,放射活性的增加,只意味著周转率即代谢率的增加,此时血清蛋白质的浓度,实际上是没有明显改变的,对大鼠肝细胞核RNA(3H-乳清酸参入)RNA多聚酶活性(3H-胞嘧啶核苷酸),Rb1有促进作用,Rc反有减弱作用,Rg1作用不明显。在体外试验中,人参皂甙对RNA多聚酶均无直接影响[2,3]。因此,人参皂甙对机体核酸、蛋白质生物合成的促进作用,是通过体内某些中间环节而实现的。

总皂甙在增加小鼠肝脏DNA、RNA合成时,似仍能保持原有的昼夜节律,对肝脏蛋白质的合成也有增强。昼夜节律却有些改变[36],在猴肾皮质传代细胞的体外培养中,人参皂甙0.1mg/ml能提高DNA聚合酶(3HTdR参入)活性,可能是一种外源性的代偿性肾脏生长因子(CRG)[37]

3)对脂质及胆固醇代谢的影响 总皂甙大量po 6d后,可使大鼠血总脂含量增加,总皂甙能从脂肪组织中释放脂肪酸。人参提取物能加速肝及脂肪组织中的脂质合成代谢的速率,在肝中合成的脂质可经血循环运至脂肪组织,因而使后者的脂肪含量增加,而在肝中则并无脂质堆积。脂质代谢受很多因素的影响(如饲料、动物营养状态等),可使实验结果有很大差异,除皂甙外,人参多肽有胰岛素样作用,对肾上腺素等物质引起的脂肪分解作用,有明显的抑制作用。又有报告,对动物的实验性高脂血症,人参可降低血中甘油三酯、胆固醇及低密度脂蛋白含量,而高密度脂蛋白有所升高,而出现抗动脉硬化作用[3]。人参还可加速从血浆中清除胆固醇的速度,增加其胆汁排出[38]。在单体皂甙方面,以Rb1作用最明显,Rg1、Re次之,Rc和Rd作用强度报道不一,有人报道Rb1能翻转高脂饮食后大鼠肝中β-羟-β甲戊二酰辅酶A还原酶活性的降低,这是否通过促使肾上腺皮激素的分泌,值得研究[2]

人参根粉0.25%长期饲鸡(4wk)也可降低血清及肝中胆固醇、甘油三酯,降低血清LDL(低密度脂蛋白)而不影响HDL,降低LDL/HDL比值,对β-羟-β-甲戊二酰辅酶A、胆固醇7α-羟化酶的活性都降低[39]。对高脂血症病人po红参粉1.5g,每日3次,7d后血脂(总胆固醇、TG等)降低,而HDL都升高。对肝癌大鼠(AH41c或AH130).po人参提取物,可使14C-醋酸盐对脂肪组织及肝中脂质的参入增加,但对AH41c细胞内脂质的参入都不增加[38]。对老年大鼠,po人参总皂甙90d后,能降低心、脑组织的脂褐质含量及过氧化脂质,升高HDL,对血清总胆固醇及甘油三酯影响不明显,故其抗动脉粥样硬化与抗氧化有关[40]

4)对免疫功能的影响及抗肿瘤作用 人参皂甙、甲醇提取物给小鼠ig,可提高其网状内皮系统的吞噬功能,但剂量远较注射时为大[3,41]。ip 6d后,小鼠皮下结缔组织巨噬细胞功能活跃,组织化学检查发现线粒体酶活性增强,表明代谢旺盛,剂量增大反而无效[42,43]。茎叶皂甙也有效[44]

总皂甙能提高淋巴细胞中cAMP、cGMP含量,促进Ea-RFC(活性E-玫瑰花环)的形成[45]

人参多糖也能增强小鼠网状内皮系统的吞噬功能[3,46]。皂甙增强吞噬功能的作用,不受CTX、5FU、6MP及丝裂霉素C的影响,但与可的松能相互拮抗。

对荷瘤(EAC)小鼠的免疫功能降低,根皂甙50mg/kg po,可使其吞噬功能、溶血素形成及迟发型超敏反应,均有一定程度的恢复[47]。皂甙及多糖还能升高豚鼠血清中的补体含量及小鼠血清中免疫球蛋白的含量。多糖ig增加小鼠B细胞的百分率,iv皂甙抑制小鼠的迟发性超敏反应[3]。提取物ig能提高小鼠凝聚数(HA)效价及循环抗体效价,提高对巨噬细胞游走的抑制率,提高自然杀伤细胞(NK)活性;增强病毒干扰素诱导剂(6-MFA)的作用[48]。花皂甙体内试验也能提高正常小鼠NK活性,并可使荷瘤小鼠的NK-rIFN-IL2(干扰素-白细胞解素2系统)调节网的功能增强[49]。人参皂甙及多糖对小鼠肉瘤-180、艾氏腹水癌(ECS)有一定的抑制作用,还能增强环磷酰胺(CTX)的抗肿瘤作用。

皂甙的抗肿瘤原理有人认为,它使离体培养的肝癌细胞发生向正常肝细胞转化的逆转效应。如-Rh1、Rh2与肝癌细胞共孵1mo以上,在超微结构及酶学检查上均有向正常化发生逆转的证据[3]。总皂甙或花、叶二醇甙与小鼠腹水型网状细胞肉瘤(ARS)细胞共同培养后,抑制其DNA合成和核分裂,并表现出一定程度的逆转[50]。也有报告对S-180瘤细胞在体外试验中,茎叶皂甙不是引起向正常化的逆转而是直接杀伤者[3]。其次,也有认为人参(碱性提取物和乙醇提取物)能抑制HeLa氏癌细胞的DNA合成,或促使骨髓中造血干细胞(CFU-S)从G0期进入增殖周期,因而增强了三尖杉酯碱和阿糖胞苷的抗癌作用[3,51]。更有人认为皂甙的抗肿瘤作用与机体的免疫功能增强有关,特别是人参多糖是这样[3,57]

还有入提出,Rb1,(Re,Rg1,R0无效)能阻止肿瘤坏死因子(TNF,与恶液质素Achectin可能是同一物质)对脂肪细胞的形态学改变,故对癌症患者的虚弱有良好作用[56]。从朝鲜人参中提到几种细胞毒样物质,为二醇类,对L1210肿瘤细胞有抑制作用[52]。另外的提取物对S-180细胞的DNA、RNA、蛋白质的合成有抑制作用[3],对人外周淋巴细胞的抗依赖性细胞毒活性物质[53]人参提取物po对接种病毒(Semliui forert virus)的小鼠有保护作用,特别是增强干扰素诱导剂6-MFA的作用[54]。茎叶皂甙对感染柯萨系病毒(Cox-B5)的猴肾细胞(MK2株)有保护作用,可能是影响了病毒增殖的合成阶段[55]

❺ 对心血管及造血系统的影响 早年的研究报告所用制剂及方法均不够细致,所谓“强心”、抑制心肌细胞膜上Na+-K+-ATP酶等均有待分析与证实。人参根总皂甙(27mg/kg)给犬和大鼠iv后,血压有双向反应,多数动物血压先降而后微升,少数先升后降,这是由于总甙对不同血管的作用不同(相反)所致[58]

10mg/kg总甙iv于麻醉开胸犬,除血压,总外周血管阻力有短时间(5min)的明显降低外,对心、脑血流量、左室作功、心输出量等均无明显影响。心率变慢,分钟张力的时间指数可有明显降低[59]。另一作者用25mg/Kg总皂iv后,对心脏泵功能及心肌收缩性指标,均无明显改变,却能显著提高肾血管阻力(椎动脉及股动脉血管阻力则可被降低)[60]。又报告茎叶总皂甙50mg/kg iv后,使开胸犬的LVP、CO、CI、TPVR、BP、HR、dp/at max、(dp/dt)/cpIp等降低,PF、SI、t-dp/dt max升高[61]

在用大肠杆菌内毒素引起开胸犬的急性心肌收缩性抑制时,人参总皂甙与去甲乌药碱合用,又可防止此种抑制(Vpm、dp/dt、LVP等),且能使外周血压逐步回升[62]。对兔和大鼠冠状动脉结扎造成心脏梗塞模型,人参总皂甙50mg/kg ip,能缩小兔心肌梗塞范围,抑制心肌梗塞后FFA升高,降低大鼠心肌的MDA含量,对CPK活性降低也有保护作用,故对心脏梗塞的保护可能与它抗心肌脂质过氧化和改善心肌游离脂肪酸代谢紊乱有关[63,76]

对麻醉狗结扎LAD形成心肌梗塞1h施行重灌注1h,iv人参总皂甙30mg/kg可降低重灌后的CPK和TXB2值,增加6-酮-PGF1α值,增加PGI2/TXA2比值,从而显示其保护犬心肌缺血和再灌注损害的作用[64]。在临床试验中,用核听诊器及99m锝测老年性心力衰竭患者的功能,在iv人参注射液0.1g/ml(含皂甙6.25mg)后,除舒张(血)压及心率降低外,对心功能及收缩压均无明显影响,但用复方人参注射液(人参、麦冬、五味子),则可改善左心室的收缩及舒张功能(射血分数、高峰充盈率等)[65]。也有作者报道茎叶总皂甙20mg/kgiv后对麻醉猫有强心作用[66]

在大鼠乳鼠心肌细胞培养的实验中,人参总是甙(83mg/ml)及其组分Rb+R0能保护缺糖缺氧性损伤,减少再给氧损伤时LDH释放,降低离体大鼠心脏缺血再灌注损伤时CPK释放,但Rg或大剂量(250mg/ml)总皂甙反促进心肌细胞LDH释放[67]。如用动作电位各参数作指标人参二醇甙1.25μg/ml能提高大鼠培养心肌细胞的Vmax、延长APD50,浓度增至20μg/ml时则起阻塞作用,三醇甙在2.5μg/ml即降低APA、OS及MDP;Vmax也降低,APD50缩短,至40μg/ml时不再记录出动作电位。在用黄嘌呤_黄嘌呤氧化酶致损的培养心肌细胞上,二醇甙与三醇甙2.5μg/ml均能抵消膜损伤性电位表现,提示对心肌细胞的氧化损伤有保护作用,本实验中二醇甙的抗自由基损伤作用较三醇甙更好[68]

iv给人参皂甙可使心率显著变慢,提高电致室性心动过速的阈值[58]。对电刺激动物下丘脑所致中枢性心律失常有抑制作用[69]。曾报告西洋参总皂甙80mg/kg iv能对抗BaCl2、哇巴因、垂体后叶素导致的实验性心律失常,但对乌头碱引起者无效[70]。对血管方面,总皂甙对不同血管有不同作用,已如前述。

在离体兔主动脉条标本上,人参三醇皂甙抑制Ca2+与兔心肌浆网和肌浆内膜的结合,强于二醇皂甙是相一致的。单体皂甙Re和Rg1对犬呈血管扩张作用,Rb2、Rc仅有微弱的血管扩张作用,Rb1则无此作用[3]。70%人参甲醇提取物200mg/kg给大鼠po服后30min,可使肝、脾、胃粘膜左心室及肾血量(氢气廓清率法)增加,90min达高峰,120min后即降低,它还抑制由5HT引起的上述器官组织血流量的降低,此时对血压、心率并无明显影响[71];红参的作用(含总皂甙10.24%)强于白参(含总皂甙8.1%)[72]。用破坏脊髓大鼠的血压改变作指标,分析人参皂甙的扩张血管作用时,认为可能是通过兴奋突触前膜α2受体,减少交感神经递质释放所引起;因为也可能兴奋突触后膜的α2受体,就引起了某些血管的收缩而导致升压反应[73]

对大鼠急性脑缺血再灌注损伤的试验中(阻断4血管缺血40min后再灌1h),人参皂甙Rb+R0100mg/kg iv能保护脑组织CPK及SOD活性,抑制脑水肿形成并减少MDA产生;促进脑内PGI2释放并抑制TXA2合成[74]。在另一报道中,Rb1100mg/(kg·d)iv4d后,能降低正常小鼠脑乳酸含量,但对脑缺血者无效[75]
❻ 人参皂甙的溶血作用,依不同药用部位而异,花溶血活性最强,其次为芦头,其次为主根和侧根,人参须根没有溶血活性;Rg组皂甙有较强的溶血作用,而无抗溶血作用;Rb1、Rb2、和Rc均无溶血作用,而有抗溶血作用。R0也有溶血作用,总皂甙不溶血,可能是二种作用互相拮抗所致[2,3]

一般认为人参对骨髓的造血功能有保护和刺激作用;在其受抑制时,人参促进骨髓DNA、RNA、蛋白质及脂质的合成,提高骨髓等组织中红细胞生成素的活性[3,77]。人参总皂甙体内、外均能抑制兔的血小板聚集,升高血小板内cAMP含量,不影响cGMP含量,体内有效量为80mg/kg iv,体外为1~2mg/ml,对花生四烯酸引起聚集的抑制大于ADP及凝血酶[78]。总皂甙能抑制兔血小板内TXA2的生物合成[79]。同时对前列腺素A2也有抑制作用[83],如以小量(30rng/kg)总皂甙长期(20wk)给兔ip,也可降低血液粘度、血小板聚集性,但对血栓弹力图无影响[79]

正常人po人参提取物3h后,血小板聚集性也受抑制,作用可持续6~9h,有效成分为Rg1[80]。日本学者认为只有经炮制后的红参,含有20(R)、Rg3、20(R)Rh1对胶原、ADP导致的血小板聚集,才有较强的抑制活性,并能抑制凝血酶导致的纤维蛋白元向纤维蛋白的转变[81]

对大鼠的内毒素、凝血酶导致的弥漫性血管内凝血(DIC),人参70%甲醇提取物500mg/kg po后,可改善血小板数、纤维蛋白元含量、凝血酶元时间的改变,抑制肾小球中纤维蛋白栓塞;提高纤溶活性(优球蛋白溶解时间),体外促进尿激酶活化[82]。红参作用强于白参[72]

❼ 其他作用 1)人参皂甙有保护肝脏的作用。用四氯化碳或硫代乙酰胺引起动物肝损伤时,po根皂甙50mg/kg或茎叶皂甙100mg/kg,可抑SGPT、SGOT的升高及肝P-450、糖元和RNA含量降低。对实验性肝脂肪变性及肝硬变、免疫性肝损伤均有一定的抑制作用。Rb1、Rg1和Re均有效。

皂甙能增加对BSP的排泄速度。人参皂甙对肝中某些酶的活力呈现激活或抑制作用(常根据剂量及机体的不同状态),实现其药理作用,例如适当剂量时激活乙醛脱氢酶,增加肝对乙醇的解毒功能[3,84]

对烟雾吸入性肺损伤的大鼠,人参总皂甙注射后可抑制肺血管通透性的增高及肺、气管的病变,这与抗氧化、抗自由基有关;总皂甙还抑制肺损伤时血循环中血小板聚集率的增高,这与其增加血小板中PGI2(TXA2含量无影响)含量有关[85]

人参具有一定的抗辐射作用,延长受x线照射后小鼠生存率,活性成分可能是非皂甙部分(蛋白质);这主要是由于其能保护骨髓的造血功能(增进骨髓细胞的RNA、DNA及蛋白质的合成)。

60Co照射组织培养细胞,人参能改变细胞生长的型式,从而提示其抗幅射力[3];整体试验中,人参提取物注射后,可提高受60Co照射小鼠巨噬细胞的乙酸α-萘酚酶、酸性磷酸酶、ATP酶、PAS阳性物质的含量,提高细胞中cAMP(免疫荧光强度)[86]。此外抗自由基在抗辐射中也起一定作用。

2)人参根和茎叶提取物对大鼠有利尿作用。大鼠po茎叶皂甙12g/kg或ip 126mg/kg,可产生水、钠潴留、排钾和钠/钾比值降低。

此作用与垂体无关,而与醛固酮相似[87]

也有人认为抗利尿与肾血流短时的明显减少有关[60]。 3)人参抗衰老的作用近年来颇受重视。以秋蚕的寿命和体重作指标,人参茎叶皂甙可轻度延长生存时间[87]

对人胚肺二倍体细胞培养液中加适量的人参皂甙,可提高增殖期细胞的群体培增水平,延长细胞生长天数[88,89]。人参皂甙,可使培养细胞的传代数增加;特别是Rg,能刺激人淋巴细胞的有丝分裂[3,90]。对D-半乳糖引起的小鼠酷似年老的虚损指标,人参皂甙有改善作用[91]。给50岁以上职工每日3次po人参芦皂甙50mg共60d,可使60~70岁组的学习、记忆能力有所增强[92]

在动物身上的促智作用,已如前述[5,21]。总之,人参对中枢神经系统的作用、抗应激、提高或恢复老龄时各种机能的低落,对各种衰老指标都可能发挥有益影响。在红参加工过程中得到的有抗氧化作用的新化合物_麦芽酚,可与体内自由基结合,减少增龄色素及脂褐质等生物大分子的堆积。从而延缓细胞整体性下降及减轻脂质过氧化物灭活酶的作用,起到延寿作用[3]。 4)人参70%甲醇提取物200mg/kg或人参果皂甙100mg/kg ig(或im60mg/kg),对大鼠的幽门结扎性、5HT-性、内毒素性实验性胃溃疡有抑制作用[3,93]
❽ 药代动力学研究 由于方法学限制,人参皂甙在体内的命运长期以来所知甚少,用3H-Rg1给鼠和兔po的研究,曾认为能为胃肠道迅速吸收,分布于体内各器官,并可长期滞留小鼠体内。以后,用双波长扫描色谱测定时,发现Rg1100mg/kg给大鼠po 150min后,在消化道内吸收很慢,各组织中浓度均不超过10μg/g组织:肝2.32,肾4.6,心2.65,肺4.65,脾4.9,胃55.0,小肠15177.0,大肠51.6,血清0.4μg/ml[94]。Odani报告,Rg1经消化道吸收20%,而Rb1肠道吸收极少,生物利用度只占投药量的0.11%,且有部分转化为三醇甙吸收,给大鼠poRb1.1100mg/kg后,血及组织中的浓度都低于0.2mg/ml。

如以Rb15mg/kg给大鼠iv,则T1/2α为11.6min,T1/2β为14.5h。给药后5min在肾、心和肝中的浓度分别为9.0±1.6、5.3±0.9及2.9±0.6μg/g组织。在脑、脾、胆中浓度都很低。

iv后120h,尿中排出量为444±29%[95]

毒性 人参毒性很低。po人参提取物或皂甙,不易使小鼠致死。ip时对小鼠的急性LD50,在300~700mg/kg之间,纯皂甙ip对小鼠的LD50:Rb11110、Rb2,305、Rc,410、Rd,324、Re,405、Rf,1340、Rg,1250mg/kg[3]。亚急性毒性试验,人参茎叶皂甙给大鼠每日ip 80mg/kg,或给犬po 200mg/kg共21d,均未见任何异常。

人长期(2yr)服用人参,可发生人参滥用综合症(10%),主要表现为高血压伴随神经过敏、失眠、皮疹和晨泻,类似皮质类固醇中毒[3,96]

参考文献 [1] 中药大辞典.上册.上海人民出版社,1977:31 [2] 中药药理与应用.人民卫生出版社,1983:16 [3] 人参的研究.天津科学技术出版社,1985:107 [4] Am J Chin Med 1987;15:19 [5] 药学学报 1986;21:636 [6] 药学通报 1988;23(4):235 [7] 中西医结合杂志 1987;7(10):610 [8] 沈阳药学院学报 1988;5(4):275 [9] Eur J Pharmacol 1988;146:291 [10] 中草药 1989;20(7):18 [11]中国药理学报 1986;7:6 [12] 中国药理学通报 1990;(2):91 [13] Planta Med 1985;3:221 [14] 中国药理学报 1988;9:489 [15] 中国药理学报 1989;10:492 [16] 中国药理学报 1987;8:486 [17] 白求恩医科大学学报 1988;14(1):16[18] 中国药理学报 1988;9:486 [19] 药学学报 1988;23:494 [20] 中国药理学报 1990;11:10 [21] 药学学报 1988;23:12 [22] 军事医学科学院院刊 1989;13(1):17 [23] 国外医学中医中药分册 1985;7:144 [24] 生理学报 1962;25(2):129 [25] 沈阳药学院学报 1987;4(4):249 [26] 国外医学药学分册 1986;(6):360 [27] Am J Chin Med 1981;9(2):112 [28] 白求恩医科大学学报 1988;14(4):293 [29] 中华老年医学杂志 1986;5(4):249 [30] 药学学报 1990;25:401,727 [31] 中国药理学报 1990;11:520 [32] 国外医学药学分册 1987;(1):17 [33] Chem Pharm Bull 1987;35:4208,4872 [34] 中西医结合杂志 1987;7(6):357 [35] 沈阳药学院学报 1988;5(2):114 [36] 中国药理学报 1988;9:22[37] 中华肾脏病杂志 1987;(4):173 [38] Atherosclosis 1983;48:81 [39] Am J chin Med 1983;11:96,84,88 [40] 中国药理学与毒理学杂志 1988;2:257 [41] 药学杂志(日) 1985;105:948,国外医学中医中药分册 1988;(2):25 [42] 白求恩医科大学学报 1989;15(6):545,612 [43] 病理生理学报 1985;1(4):22 [44] 中草药1985;16(5):28 [45] 中国免疫学杂志 1986;(1):30 [46] Planta Med 1989;55:9 [47] 中国药理学通报 1987;3(5):278 [48] Planta Med 1984;50:462 [49] 中国免疫学杂志 1987;(1):41 [50] 解剖学报 1987;(3):269,白求恩医科大学学报 1987;15(5):396 [51] 重庆医科大学学报 1988;(2):186 [52] Planta Med 1988;54:183 [53] Clinical Res 1980;28:504A [54] Planta Med 1983;49(4):234 [55] 吉林医学 1987;(2):43 [56] 国外医学中医中药分册 1988;(6):27 [57] 中国药理学报 1987;8:277 [58] 中国心血管杂志 1982;10;(2):147 [59] 中国药理学与毒理学杂志 1990;4(1):17 [60] 中国药理学报 1982;3:236 [61] 沈阳药学院学报 1985;2(1):51 [62] 中国药理学报 1986;7:439 [63] 中国药理学报 1990;11:427 [64] 中国药理学报 1986;7:226 [65] 中西医结合杂志 1986;(1):13 [66] 北京医科大学学报 1986;(2):146 [67] 药学学报 1987;22:1 [68] 中国药理学报 1991;12:256 [69] 中国药理学报 1982;3:226 [70] 沈阳药学院学报 1985;2(4):29(4):277 [72] 生药学杂志(日) 1987;41(2):125 [73] 中国药理学报 1987;8(3):217 [74] 中国药理学报 1990;11:119 [75] 药学学报 1989;24:89 [76] 中华医学杂志 1987;67(10):581 [77] 重庆医科大学学报 1987;(4):289 [78] 中国药理学通报 1987;3(2):104 [79] 白求恩医科大学学报 1988;14(4):300 [80] 国外医学中医中药分册 1988;(5):15 [81] 生药学杂志(日) 1985;39:(2):123 [82] 药学杂志(日) 1983;103(12):1269 [83] 药学学报 1987;22:166 [84] 药学学报 1983;18:737 [85] 第三军医大学学报 1988;(6):451,1989;(1):183 [86] 中国病理生理学杂志 1988;4(1):47 [87] 中成药研究 1986;(9):32 [88]老年学杂志 1987:5(3):53 [89] 老年学杂志 1985;3(2):1 [90] Am J Chin Med 1980;8(3):254 [91] 老年学杂志 1989,9: 44 [92] 老年学杂志 1987;5(3):50 [93] 药学杂志(日) 1985;104:449,951 [94] Chem Pharm Bull 1982;30(6):2196 [95] Chem Pharm Bull 1983;31(3):1059 [96] JAMA 1979;241(15):1614性味 甘,微苦,平。

❶ 《本经》:“甘,微寒。”
❷ 《别录》:“微温。”
❸ 《本草备要》:“生:甘、苦,微凉;熟:甘,温。”
❹ 《中药大辞典》:“甘、微苦,温。”
❺ 《全国中草药汇编》:“甘、微苦,微温。”

归经 入脾、肺、心经。

❶ 《本草衍义补遗》:“入手太阴。”
❷ 《本草汇言》:“入肺、脾二经。”
❸ 《药品化义》:“入脾、胃、肺三经。”

功效 大补元气,复脉固脱,生津,安神,补脾益肺。

主治 气短喘促,心悸健忘,津伤口渴,内热消渴,食少无力,一切急慢性疾病及失血后引起的休克、虚脱,阳痿宫冷,免疫功能下降,心力衰竭,心原性休克。 ❶ 《本经》:“主补五脏,安精神,止惊悸,除邪气,明目,开心益智。”
❷ 《别录》:“疗肠胃中冷,心腹鼓痛,胸肋逆满,霍乱吐逆,调中,止消渴,通血脉,破坚积,令人不忘。”
❸ 《药性论》:“主五脏气不足,五劳七伤,虚损瘦弱,吐逆不下食,止霍乱烦闷呕哕,补五脏六腑,保中守神。消胸中痰,主肺痿吐脓及痫疾,冷气逆上,伤寒不下食,患人虚而多梦纷纭,加而用之。”
❹ 《日华子本草》:“调中治气,消食开胃。”
❺ 《珍珠囊》:“养血,补胃气,泻心火。”
❻ 《医学启源》:“治脾胃阳气不足及肺气促,短气,少气,补中缓中,泻肺脾胃中火邪。《主治秘诀》:补元气,止泻,生津液。”
❼ 《滇南本草》:“治阴阳不足,肺气虚弱。”
❽ 《本草蒙筌》:“定喘嗽,通畅血脉,泻阴火,滋补元阳。”
❾ 《纲目》:“治男妇一切虚证,发热自汗,眩晕头痛,反胃吐食,疟,滑泻久痢,小便频数,淋沥,劳倦内伤,中风,中暑,痿痹,吐血,嗽血,下血,血淋,血崩,胎前产后诸病。”
❿ 《中药大辞典》:“大补元气,固脱生津,安神。治劳伤虚损,食少,倦息,反胃吐食,大便滑泄,虚咳喘促,自汗暴脱,惊悸,健忘,眩晕头痛,阳痿,尿频.消渴,妇女崩漏,小儿慢惊,及久虚不复,一切气血津液不足之证。

用法用量 内服:煎汤,1.5~9g;亦可熬膏,或入丸、散。

使用注意 实证、热证忌服。 ❶ 《本草经集注》:“茯苓为使。恶溲疏。

反藜芦。”
❷ 《药对》:“畏五灵脂。恶皂荚、黑豆、紫石英。”
❸ 《药性论》:“马蔺为使。恶卤咸。”
❹ 《医学入门》:“阴虚火嗽吐血者慎用。”
❺ 《月池人参传》:“忌铁器。”
❻ 《药品化义》:“若脾胃热实,肺受火邪,喘嗽痰盛,失血初起,胸膈痛闷,噎膈便秘,有虫有积,皆不可用。”。【临床应用】:

配伍应用 ❶ 配附子,治阳虚气喘,自汗盗汗,气短头晕,及亡阳虚脱。

❷ 配阿胶,治小儿惊后瞳仁不正者。
❸ 配雄黄,治虚疟发热。
❹ 配茯苓,补下焦元气,泻肾中之火邪。

❺ 配当归,治骤然出血而致自汗频频,气短脉微之危重症,心气不足,心血瘀而见的心悸不宁,心前区痛,甚或面唇、指甲青紫之胸痹证。

❻ 配磁石,治喘咳气虚上浮。
❼ 配藜芦,治涌吐痰在胸膈。
❽ 配龙骨,治遗精。
❾ 配枇杷叶,治反胃。
❿ 配黄芪,治阴虚潮热,喘嗽,吐血,盗汗等证。

⑾配石菖蒲、莲肉,治产后不语。 ⑿配白术,治食欲不振,胸闷腹胀,吐泻,乏力等症。 ⒀配五味子,治元气不足,或热病气阴两伤所致气短自汗等。

⒁配蛤蚧,治气虚喘咳。 ⒂配三七,治虚劳咳嗽,各种出血,汗血欲脱,胸痹等证。 ⒃配熟地黄,治热病气伤津亏。 ⒄配生石膏,治消渴病的高血糖。

⒅配升麻,治脱肛,子宫脱垂。 ⒆配诃子,治肺气虚损,咳嗽无力,动则气促,或久咳失音;脾虚滑泻,久泻久痢。

⒇配丹参,治气虚兼血行不畅所致的面色萎黄,神疲乏力,失眠,头晕,甚至心悸怔忡等。 (21)配鹿茸,治先天不足,或后天劳伤,或年高火衰所致的形体羸弱,腰膝酸软,四肢发凉,精神疲惫,耳聋目暗,男子阳痿精冷,女子宫寒不孕等症,切忌骤服大剂量。 (22)配木香,治年老气虚,脾胃不健的神情乏力,纳呆少食,食后腹胀或便秘难下者。 (23)配莲子,治消化不良,泄泻,心神不安,惊恐失眠等症。

(24)配黄连,治噤口痢,慢性痢疾,肠炎等。 (25)配干姜,治胃下垂,中焦虚寒等。

(26)配白术、茯苓,治脾虚食少,便溏等症。 (27)配紫苏、前胡,治虚人感冒。 (28)配石膏、知母,治热盛气虚。

(29)配大黄、芒硝,治燥热便秘的正气虚弱,不能任攻下药者。

(30)配黄芪、甘草,乃甘温除大热,泻阴火,补元气,又为疮家圣药。 (31)配花粉、山药、生地,治消渴病。

(32)配柏子仁、酸枣仁,治健忘失眠。 (33)配丹参、桃仁、生山楂,治冠状动脉粥样硬化性心脏病属气虚血瘀型者。

方选和验方 ❶ 四君子汤(《太平惠民和剂局方》)治脾胃气虚,面色苍白,语声低微,四肢无力,心腹胀满,全不思食,肠鸣泄泻,呕哕吐逆,舌质淡,脉细缓:人参(去芦)10g,白术、茯苓(去皮)各9g,甘草(炙)6g。为细末,每服6g,水200ml,煎至7分。口服,不拘时,入盐少许,白汤点亦得(现代用法:水煎服)。
❷ 理中丸(《伤寒论》)治中焦虚寒,自利不渴,呕吐腹痛,不欲饮食,以及霍乱等;阳虚失血;小儿慢惊,病后喜唾涎沫,以及胸痹等由中焦虚寒所致:人参6g,干姜5g,甘草(炙)6g,白术9g。

。上4味,捣筛,蜜和为丸,如鸡子黄大,以沸汤数合约60ml和1丸,研碎,温服之。

日3服,夜2服。腹中未热,益至3~4丸。

❸ 玉壶丸(《仁斋直指方》)治消渴引饮无度:人参、瓜蒌根各等份。生为末,炼蜜为丸,梧桐子大,每服30丸,麦冬汤送下。
❹ 独参汤(《十药神书》)治出血后虚证:大人参(去芦)60g,枣5枚。每服水400ml,煎至200ml。

细呷之,服后熟睡一觉,诸病除根。

❺ 人参汤(《金匮要略》)治胸痹心中痞气,气结在胸,胸满,肋下逆抢心:人参、甘草、干姜、白术各90g。上4味,以水1600ml,煮取600ml,温服200ml,日3服。
❻ 生脉散(又名生脉饮)(《内外伤辨惑论》)治暑热汗多,耗气伤液,体倦气短,咽干口渴,脉虚细;久咳肺虚,气阴两伤,呛咳少痰,气短自汗,口干舌燥,苔薄少津,脉虚数或虚细:人参10g,麦冬15g,五味子6g。

长流水煎,不拘时服(现代用法:1剂3次,1日服完)。
❼ 小地黄丸(《局方》)治妊娠,酸心吐清水,腹痛不能饮食:人参(去芦)、干姜(炮)各等份。

上为末,用生地黄汁,丸如梧子大。

每服50丸,米汤下,食前服。

❽ 参附汤(《正体类要》)治阳气暴脱,手足逆冷,头晕气短,汗出脉微:人参9g,附子(炮,去皮)6g,水煎服。阳气脱陷者倍用。

❾ 参苏饮(《太平惠民和剂局方》)治外感风寒,内有痰饮,恶寒发热,头痛鼻塞,咳嗽痰多,胸膈满闷,苔白脉浮等证:人参、苏叶、葛根、前胡、半夏(姜汁炒)、茯苓各22.5g,陈皮、甘草、桔梗、枳壳(麸炒)、木香各15g。每服12g,水150ml,姜7片,枣1个,煎6分,去滓,微温服,不拘时(现代用法:按原方比例酌减,加姜3片,枣3枚,水煎服)。

❿ 七味白术散(《小儿药证直诀》)治脾胃久虚,呕吐泄泻频作不止:人参7g,白茯苓15g,白术15g,甘草3g,藿香叶15g,木香6g。葛根15g(渴者加至15~30g)。

上药为粗末,每服15g,水煎。 ⑾举元煎(《景岳全书》)治气虚下陷,血崩血脱,亡阳垂危等证。

有不利于归、熟补血等剂,而但宜补气者,以此主之:人参10~20g,黄芪(炙)10~20g,甘草(炙)3~6g,升麻4g,白术3~6g。水500ml,煎至7~8分,温服。如兼阳气虚寒者,桂、附、干姜宜佐用;如兼滑脱者,加乌梅2个,或文蛤2~2.5g分。 ⑿人参胡桃汤(《济生方》)治肺肾两虚,咳嗽气喘:新罗人参(寸许,切片)8g,胡桃5个(去壳、取肉切片)。

上作1服,用水150ml,生姜5片,煎至7分去滓,临卧温服(现代用法:煎汤3次,分早、午、晚空腹服)。 ⒀人参养荣汤(《太平惠民和剂局方》)治劳积虚损,呼吸少气,行动喘啜,心虚惊悸,咽干唇燥等:人参3~5g,黄芪15g,当归8g,陈皮5g,桂心5g,白术10g,五味子6g,芍药6g,熟地黄10g,茯苓6g,甘草(炙)4g,远志3g。

每服12g,水500ml,煎7分。 ⒁泰山磐石散(《景岳全书》)治妇女妊娠,气血两虚,胎动不安或屡有堕胎宿患,面色淡白,倦怠乏力,不思饮食,舌质淡,苔薄白,脉滑无力,或沉弱:人参3~5g,黄芪15g,当归8g,川断5g,黄芩5g,白术10g,川芎4g,芍药6g,熟地黄10g,砂仁4g,甘草(炙)4g,糯米5g。

水500ml,煎7分,食远服。但觉有孕,3~5日常用1服;四个月后,方无虑也(现代用法:一剂3次,早、午、晚空腹时服)。 ⒂真人养脏汤(《太平惠民和剂局方》)治久泻久痢,脾肾虚寒,大便滑脱失禁,腹痛喜温,或下痢赤白,或便脓血,日夜无度,里急后重,脐腹绞痛,倦怠食少:人参6g,当归(去芦)9g,白术(焙)12g,肉豆蔻(面裹煨)12g,肉桂(去粗皮)3g,甘草(炙)6g,白芍15g,木香9g,诃子(去核)12g,罂粟壳(去蒂萼、蜜炙)20g。锉为粗末,每服6g,水300ml,煎至8分,去渣,食前温服。

忌酒、面、生冷、鱼腥、油腻。(现代用法:水煎服)。 ⒃四磨汤(《济生方》)治七情所伤,肝气郁结。胸膈烦闷,上气喘急,心下痞满,不思饮食:人参3g,槟榔9g,沉香3g,天台乌药9g。

四味各浓磨水,和作210ml,煎3~5沸,放温服(现代用法:水煎服)。 ⒄催生如意散(《奇方后集》)治临产腰痛:人参、乳香末各3g,朱砂末1.5g。研极细,3味一处和匀,临床之时,急用鸡子清1个,匀药末,再用生姜自然汁,调开冷服。如横生倒里,即时端顺,子母平善。

⒅加味回阳散(《证治大还》)治慢惊面青,四肢逆冷,泄泻不止:人参、白术、山药、茯苓、甘草、附子、赤石脂、天虫、全虫各3g。上为细末,姜,水煎,每服6g。

⒆二参丸(《圣济总录》)治虚劳,小便余沥尿精:人参、菟丝子(酒浸1夜,另捣)各15g,肉桂、煅牡蛎、山茱萸、黄柏(蜜炙)、细辛、炮附子、苦参各0.9g,麦门冬、泽泻各30g,炮姜、干地黄各0.3g。为末,炼蜜为丸,梧桐子大,每服30丸,空腹温酒送下。

⒇二参汤(《医宗金鉴·外科心法要诀》)治胃经虚火,牙龈腐烂,淡血渗流不已者:人参、玄参各等份。水煎服。

(21)十六味流气饮(《医学入门》)治无名肿毒,痈疽等症,脉洪缓沉迟紧细者:人参、当归、黄芪、桔梗、防风、木香、甘草、枳壳、芍药、川芎、肉桂、槟榔、白芷、厚朴、紫苏、乌药各等份。

水煎服。

(22)十全大补汤(《太平惠民和剂局方》)治诸虚不足,五劳七伤,不进饮食;久病虚损,时发潮热,气攻骨脊,拘急疼痛,夜梦遗精,面色萎黄,脚膝无力;一切病后,气不如旧;忧愁思虑伤动血气,喘嗽中满,脾肾气弱,五心烦闷等症:人参、肉桂(去粗皮)、川芎、地黄(洗,酒蒸,焙)、茯苓(焙)、白术(焙)、甘草(炙)、黄芪、当归、白芍药各等份。为粗末,每服6g,加生姜3片,大枣2枚,水煎,不拘时服。 (23)十味参苏饮(《正体类要》)治气逆血蕴上焦,发热气促,或咳血衄血,或痰嗽不止:人参、紫苏、半夏、茯苓、陈皮、桔梗、前胡、葛根、枳壳各3g,甘草(炙)1.5g。加生姜,水煎服。

(24)十味保和汤(《类证治裁》)治胃虚气滞而暖气者:人参、白术、茯苓、半夏、陈皮、藿香、甘草(炙)、香附、砂仁、木香。

水煎服。

(25)人参三白汤(《医学入门》)治太阳病误下误汗,表里俱虚,以致郁冒不得汗解者:人参、白术、白芍药、白茯苓各4.5g,柴胡9g,川芎3g,天麻1.5g。水煎服。

(26)人参丸(《备急千金要方》)治产后大虚心悸,志意不安,恍惚恐畏,夜不得眠,虚烦少气,及男子虚损心悸:人参、甘草、茯苓各90g,麦门冬、菖蒲、泽泻、山药、干姜各60g,桂心30g,大枣50枚。为末、蜜、枣膏和丸,梧桐子大,每服20丸,食前温酒送下,日3,夜1次,不知稍增。 (27)人参木香散(《奇效良方》)治水气病:人参、木香、茯苓、枳壳、滑石、琥珀、槟榔、海金沙、猪苓、甘草各等份。为细末,每服15g,加生姜3片,水煎,分3次服。

(28)人参半夏丸(《卫生宝鉴》)治痰逆呕吐,痰厥头痛,或风气偏正头痛,或风壅头目昏,或耳鸣,鼻塞咽干,胸膈不利:人参、茯苓(去皮)、天南星、薄荷各250g,寒水石、白矾、半夏、姜屑各30g,蛤粉60g,藿香7.5g,为末,水糊为丸,梧桐子大,每服30丸,食后姜汤或温水送下,日3次。 (29)人参半夏汤(《医醇义》)治关格,痰气上逆,食入即吐:人参、茯苓、当归、郁金、牛膝各6g,半夏9g,陈皮、砂仁、佩兰各3g,沉香、佛手、檀香各1.5g,薏苡仁12g。水煎服。 (30)人参乌梅汤(《温病条辨》)治久痢伤阴,口渴舌干,微热微咳:人参、炒莲子、甘草(炙)、乌梅、木瓜、山药。水煎服。 (31)人参竹叶石膏汤(《辨证录》)治阴阳火起发狂,腹满不得卧,面赤面热,妄见妄言者:人参15g,石膏、麦冬各30g,竹叶300片,知母9g,甘草3g,糯米10g。水煎服。 (32)人参补肺汤(《证治准绳·疡医》)治肺痈咳喘短气,或肾水不足,虚火上炎,痰涎壅盛,或吐脓血,发热作渴,小便短涩:人参、黄芪、白术、茯苓、陈皮、当归各3g,山茱萸、山药各6g,麦门冬0.21g,甘草(炙)、五味子各0.15g,熟地黄4.5g,牡丹皮0.24g。

加生姜、大枣,水煎服。 (33)人参养肺汤(《证治准绳》)治肺痿咳嗽有痰,午后发热声嘶:人参、阿胶(蛤粉炒)、贝母、杏仁(炒)、桔梗、茯苓、桑白皮、枳实、甘草各3g,柴胡6g,五味子1.5g。加生姜3片,大枣1枚,水煎,食远服。 (34)人参饮子(《世医得效方》)治时行咳嗽,寒热上壅,咳嗽痰涎:人参、桔梗、五味子、赤茯苓、白术(炒)各30g,枳壳(麸炒)、甘草(炙)各15g(一方有半夏30g)。

为粗末,每服12g,加生姜5片,水煎,食前服。若嗽多,加桑白皮30g;痰多加半夏曲30g;寒壅者,加杏仁(不去皮尖)、紫苏各15g。

(35)人参麦冬汤(《杂病源流犀烛·六淫门》)治老人、虚人消渴,大渴多饮者:人参、麦门冬、茯苓、甘草、枸杞子、五味子。水煎服。

(36)生髓育麟丹(《辨证录》)治男子精少不育:人参、麦冬、肉苁蓉各180g,山茱萸、山药各300g,熟地、桑椹各500g,鹿茸1对,龟板胶、枸杞子各240g,鱼螵、菟丝子各120g,当归150g,北五味子90g,紫河车2个,柏子仁60g。

为细末,炼蜜为丸,每服15g,日2次。 (37)人参茯苓丸(《圣济总录》)治肺气虚寒,咳逆下利,少气:人参、茯苓、白术各75g,桂心、炮姜、当归(炒)、甘草(炙)、川芎、黄芪各60g,陈皮(汤浸去白,焙)45g。为末,炼蜜为丸,梧桐子大。

每服30~50丸,空腹酒或生姜煎汤送下,日2次。 (38)人参养营汤(《温疫论补注》)治大病愈后数日,表里虚怯,每饮食及惊动即汗出:人参、麦门冬、五味子、地黄、当归、白芍药、知母、陈皮、甘草。水煎服。 (39)人参养肺丸(《太平惠民和剂局方》)治肺胃俱伤,气奔于上,客热熏肺,咳嗽喘急,胸中烦悸,涕唾稠粘,或有鲜血,咽干口燥,食少羸弱:人参、黄芪(蜜炙)各54g,茯苓(去皮)、天花粉各180g,杏仁(炒,去皮)72g,半夏曲(炒)12g,皂角子(炒,去皮)300个。

为细末,炼蜜为丸,弹子大。每服1丸,食后细嚼,用紫苏煎汤送下;喘用桑白皮煎汤送下。

(40)人参清神汤(《外科正宗》)治疗疮溃脓后,余毒未尽,五心烦躁,精神恍惚,不宁多语,睡卧不清:人参、黄芪、当归、白术、麦门冬、陈皮、茯苓、地骨皮、远志各3g,甘草、柴胡、黄连各1.5g。加糯米10g,水煎,食远服。

(41)人参理中汤(《外台秘要》引《删繁方》)治霍乱洞泄不止:人参、干姜、桂心、甘草(炙)各90g,陈皮、茯苓各120g,黄芪60g。水煎服。 (42)人参鹿茸丸(《圣济总录纂要》)治肾气不足,肢体瘦弱无力,小便频数:人参、黄芪(蜜炙)、杜仲(盐酒炒)、山茱萸各0.9g,鹿茸、天花粉、桑螵蛸各30g,鸡内金(炙)4枚,菟丝子(酒煮)45g。为末,炼蜜为丸,梧桐子大。

每服30~40丸,大枣煎汤送下,日2次。 (43)人参散(《普济本事方》)治胆虚多畏恐,不能独卧,如人捕状,头目不利:人参、枳壳(麸炒黄)、五味子、桂心、山茱萸(连核)、菊花、茯神(去木)、枸杞子各0.9g,柏子仁、熟地黄(酒洒,九蒸九晒,焙干)各30g。为细末,每服6g,温酒调下。

(44)人参紫金丹(《医宗金鉴》)治跌扑闪撞而气虚:人参9g,丁香、当归(酒洗)、血竭、骨碎补、五味子各30g,甘草24g,五加皮、没药(去油)各60g,茯苓6g。为细末,炼蜜为丸。每服9g,淡黄酒或童便化下,早、晚各1次。

(45)人参煮散(《博济方》)治内伤生冷,外伤寒气,呕吐烦热,头痛身不疼,及气虚伤寒:人参30g,白术0.9g,陈皮、干姜、杏仁、甘草(炙)、枳壳各15g,芍药0.9g,蛮姜0.3g。研末,每服6g,加生姜5片,大枣2枚,水煎热服。

再以稀粥助之取汗。

(46)人参葶苈子丸(《医学启源》)治一切水肿喘满:人参30g,葶苈(炒)120g。

研末,枣肉和丸,如梧桐子大。每服30丸,桑白皮煎汤下。

(47)人参雌鸡汤(《太平圣惠方》)治妊娠六月,卒胎动不安,寒热往来,腹满惊怖,忽有所下,腹痛如欲产:人参、甘草(炙)、黄芩、麦冬、生姜、大枣各30g,熟地黄、阿胶(烊化冲)各60g。先煮鸡取汁煎药,加酒服。 (48)玉露散(《校注妇人良方》)活乳脉不行,身体壮热,头目昏痛,大便涩滞:人参、茯苓、桔梗(炒)、芍药各3g,甘草(炙)1.8g。水煎服。 (49)正元丹(《古今医方集成》)治命门火衰,不能生土,吐利厥冷,时或阴火上冲,头面赤热,眩晕恶心,或浊气逆满,胸胁刺痛,脐腹胀急:人参(用附子30g,煮汁收入,去附子)90g,甘草(用乌药30g煮汁收入,去乌药)、黄芪(用川芎30g,酒煮收入,去川芎)各45g,白术(用陈皮15g,煮汁收入,去陈皮)、茯苓(用肉桂18g,酒煎汁收入,去肉桂)各60g。将茯苓晒干,余药用文武火焙干,为末,每服9g,加生姜3片,大枣1枚,水煎数沸,再加盐2g,和渣调服,服后饮热酒150ml,以助药力。

(50)人参汤(《备急千金要方》)治下焦热,气道不续,呕吐不禁,名曰走哺者:人参、葳蕤、黄芩、知母、茯苓各90g,白术、橘皮、生芦根、栀子仁各120g,石膏240g。为粗末,水煎,分3次服。

(51)人参再造丸(《北京市中药成方选集》)又名再造丸,治中风中痰,口眼歪斜,言语不清,手足拘挛,左瘫右痪,半身不遂:祁蛇(酒炙)120g,炙龟板、玄参、炙香附、天竺黄、羌活、乌药、细辛、赤芍药、黑附子、炙虎骨、炒青皮、炒僵蚕、炒白术、骨碎补、党参、沉香、制乳香、制没药、母丁香各30g,麻黄、山甲珠、白芷、制大黄、熟地黄、姜黄、制何首乌、茯苓、草豆蔻、紫豆蔻、藿香、川芎、黄芪、天麻、黄连、炙白附子、防风、萆薢、肉桂(去粗皮)、甘草、当归各60g,地龙、炙松香、山羊血各15g,威灵仙、葛根、全蝎、桑寄生各75g,菊花、血竭各24g。为细末,每2343g药末兑:麝香9g,冰片、牛黄各10g,朱砂粉30g犀角粉24g,高丽参粉60g。

研匀,炼蜜为丸,每丸重9g,金箔为衣。每服1丸,温开水送下,日2次。

(52)苏子降气汤(《中医验方汇编》)治气嗽(气虚上气喘促):人参6g,半夏曲3g,紫苏子3g,官桂2.4g,橘红2.4g,当归1.5g,前胡1.5g,厚朴1.5g,甘草(炙)1.5g。水煎服。 (53)人参养荣加蛤蚧汤(《中医验方汇选》)治肺结核:人参、黄芪(炙)、当归、桂心、白术、陈皮、甘草(炙)各3g,白芍(酒洗)4.5g,熟地(酒拌)、五味子(炒杵)、茯苓各2.4g,远志(去心炒)1.5g,生姜3片,大枣1~2枚,外加蛤蚧1对。

水煎,食前服。

(54)健脾利气汤(《中医验方汇选》)治胃部刺痛,呕吐吞酸,胸中胀闷,消化不良:人参(研)6g,白术(炒)6g,茯苓6g,砂仁(研)4.5g,广木香(研)3g,陈皮6g,清半夏9g,神曲(炒)9g,厚扑6g,枳壳6g,当归9g,川芎6g,甘草(炙)4.5g,鲜姜3片,大枣3个。水煎空腹服,每服1煎,早晚各服1次。

(55)双补汤(《中医验方汇选》)治中风不语,口眼歪斜,左瘫右痪,半身不遂:人参9g,生白术9g,黄芪24g,当归15g,白芍(酒)9g,葛根4.5g,桂枝9g,红花9g,桃仁(去皮炒)4.5g,生姜汁30g,韭菜(切碎捣汁)250g,黄酒30g。先煎人参半小时后,再入各药,煎好去渣后,再加入姜汁、韭菜汁、黄酒,微煎3沸。

温服,1日1剂。

大便秘先通大便。 (56)妙香散(《中医验方汇选·内科》)治梦遗失精,惊悸等病证:高丽参30g,薯蓣60g,远志30g,茯神30g,茯苓30g,桔梗9g,朱砂6g,广木香4.5g,麝香1.5g,甘草6g。朱砂、麝香另研,其它9味药共研为面,然后和一处,调匀研细,每服6g,早、晚,白开水送下。

(57)人参香茶片(中医杂志 1983;(7))治胃癌术后红参、香茶菜、枳壳制成糖衣片,术后2周开始用药,头3个月每次5片,每日3次;3个月后每次3片,每日3次。连续服药,3个月为1疗程。 (58)复方人参膏(中医杂志 1983;(11))治子宫颈糜烂:人参膏干粉、蛤蚧粉、黄连素、乳香、没药、儿茶、冰片、铅丹,依次按5 200.2.0.2∶0.30.102的比例,分别研成细末过筛,取各药混匀,装入胶囊,每粒重0.5g。患者用药前,先以11000新洁尔灭冲洗阴道,然后将药放入阴道后穹窿部,每次2粒,隔日1次,每4次为1疗程。

此药为外用药,严禁口服,孕妇忌用,用药期间禁止性生活。 (59)保元汤(陕西中医 1990;(6))治慢性肾炎:人参(红参)5g,黄芪20g,肉桂2g,甘草3g。

水煎,红参另蒸,肉桂碾粉冲服,每日1剂,分2次服。 (60)《中医临床验方集》治小儿夜尿:人参3g,五味子6g,麻黄3g,覆盆子10g,黄芪10g,升麻5g,金樱子6g,0萸肉10g。

水煎服。1日1剂,分4次服完。

( 61)《中医临床验方集》:治暴盲,平素眼目无病,突然目盲:人参6g,白术12g,熟地12g,白芍12g,甘草6g,川芎6g,归身10g,青皮10g,柴胡12g,菊花12g,石决明15g。水煎服。

1日1剂,分2次服。 (62)颈痛灵(中医杂志 1988;(3))治疗颈椎病:人参、鹿茸、熟地、黑芝麻、蛇蜕、黄芪、枸杞子、葛根、黑豆、甘草、核桃、白酒、老酒各适量,制成水酒合剂,成人每次10~15ml,1日2次,饭后半小时服下(用药期间停止其它疗法),1个月为1疗程。

(63)阴脱汤(上海中医药杂志 1990;(1))治疗“真心痛”并发厥脱属阴脱者,症见心烦不安、面唇苍白、心悸、多汗、肢冷:人参15g,麦冬15g,黄精30g,五味子10g,炙甘草15g。水煎200~300ml,频服。

每日2剂。 (64)温阳定痛丸(上海中医药杂志 1989;(1))治虚寒型脉管炎病程较长,体质家衰者:红参200g,鹿茸60g、蜈蚣200条(不去头足),金钱白花蛇20条,白芷200g。

上药研细末,炼蜜为丸,每次10g,早晚空腹各内服1次。 (65)益气举脱汤(新中医 1987;(2))治脱肛:红参(另炖)、升麻各10g,炙黄芪80g,乌梅3个。

后3味加水600ml,煎至250ml,取汁。再加水300ml,煎至100ml,两次药液混合参汤早晚2次分服。每日1剂。 (66)扶肺煎(中国医药学报 1990;(2))治中、晚期肺癌:生晒参10g,炙黄芪30g,南、北沙参各12g,参三七10g,枸骨叶15g,楮实子12g,玄参10g,百合10g,麦冬10g,芦根15g,莪术15g,蜈蚣3条,桔梗8g,陈皮6g。

每日1剂,水煎分2次服。 (67)断红汤(新中医 1989;(6))治妇人崩漏:红参、乌贼骨、制香附各10g,熟地20g,当归6g,阿胶(烊化)、七叶一枝花各15g,参三七末(体弱甚用血竭)3g(冲服),炮姜炭4~9g,艾叶炭5~10g。

每日1剂。分2次煎服。

(68)复方人参软膏(新中医 1990;(12))治各种肉芽创口:鲜人参(家参)300g,黄连、黄芩、黄柏各100g。将人参捣碎,与“三黄”共同水蒸,弃渣浓缩,加一定量二甲基亚砜,配成软膏1000g备用。

(69)参蚧散(中西医结合杂志 1983;(1))治哮喘症:移山参9~10g,蛤蚧1对(去头)。煎服,每日1剂,连服1~2天,待症状控制后改研粉,每日6g,分服。

(70)益肠片(辽宁中医杂志 1988,(3))治脾虚型慢性结肠炎:人参、黄芪、白术、炮姜、补骨脂、当归、延胡索、木香、白芍、儿茶、赤石脂、甘草。

每片为0.5g,每次10片,日3次。 (71)《草木便方》:“治闻雷声即昏倒地下,不知人事气怯方:人参60g,当归60g,麦冬60g,五味子15g,水煎浓汁,熬膏,白汤化下。” (72)种子三合丸(《中国中医秘方大全》)治精子缺陷及不射精之男性不育症:人参、山萸肉、熟地、桑椹子、鹿茸、龟板胶、鱼鳔、菟丝子、淮山药、当归、麦冬、五味子、苁蓉、人胞(胎盘)、柏子仁、枸杞子,按常规用量,共研细末,以蜜为丸,每日早晚各1次,每次10g。

(73)《中国民间实用医方》:“治气虚脱肛:人参3g,白术10g,黄芪30g,升麻10g,柴胡10g,当归10g,葛根10g,白芍10g,甘草6g。水煎服,每日1剂。” (74)《中国民间实用医方》:“治阴阳两虚的阳痿,早泄:人参50g,山药60g,熟地60g,杜仲80g,当归50g,山萸50g,枸杞50g,炙甘草30g。做成梧桐子大的丸药,早、晚各空腹50丸,淡盐汤送下。

” (75)大补元丸(《中国中医秘方大全》)治妇女白带,夜尿频数,腰酸,易落发:人参(别直参)9g,熟地12g,金樱子12g,山药12g,白芍9g,牡蛎15g,白芷4.5g,五味子4.5g,白术9g,柴胡4.5g,萸肉9g,大枣9g,升麻6g,乌贼骨12g。上药研成细末,为丸,如桐子大,每日服2次,每次服100丸,空腹时温开水送下。 (76)附子参麦饮(《中国中医秘方大全》)治新生儿硬肿症:人参10g,麦冬6g,五味子6g,附子6g。水煎,每日1剂,分数次服。

(77)益气消解汤(《中国中医秘方大全》)治流行性乙型脑炎急性期重型和极重型:生晒参4~8g,麦冬、板蓝根、大青叶各15~20g,金银花、连翘各8~10g,生石膏30~50g,丹皮、知母、竹叶各6~10g,生地10~20g,甘草2~5g,每日1剂,内服或鼻饲。

(78)姜茹半夏汤(《中国中医秘方大全》)主治化疗引起的胃肠道毒副反应:红参15g(或党参20g),姜半夏15g,枳实15g,陈皮15g,茯苓20g,竹茹20g,生姜20g,甘草10g。水煎服。 (79)保元大黄汤(《中国中医秘方大全》)治慢性肾功能衰竭:人参10g,生黄芪30g,生甘草10g,桂枝10g,大黄(后下)10g。

水煎服。 (80)参鹿温肾方(《中国中医秘方大全》)治再生障碍性贫血;人参9g,白术9g,甘草3g,陈皮9g,熟地9g,肉桂3g,补骨脂9g,鹿角9g,黄芪12g,阿胶9g。水煎服。 (81)健脾益气方(《中国中医秘方大全》)治巨幼细胞性贫血和其它各种贫血;人参9~12g,黄芪20~30g,炙甘草9~12g,白术12g,山药15g,大枣10g,生姜9g,桂枝6~9g,五味子6~9g,砂仁6~9g。

水煎服。 (82)补肾生血汤(《中国中医秘方大全》)治缺铁性贫血:人参10g,生黄芪24g,鹿角胶12g,龟板胶12g,阿胶12g,当归12g,白芍12g,熟地12g,制首乌30g,紫河车12g,枸杞15g,灵磁石40g,炙甘草6g。水煎服。 (83)参鹿杞丸(中国中医秘方大全》)治阵发性睡眠性血红蛋白尿:老山参30g,鹿茸15g,熟地25g,枸杞25g,仙灵脾15g,白芍25g,黄芪15g,白术15g,当归15g,川芎15g,茯苓20g,天冬20g,陈皮20g,炙甘草20g。

共研末炼蜜为丸,每丸重10g。

日服2~3丸。 (84)参鹿龟汤(《中国中医秘方大全》)主治嗜酸性粒细胞增多症:红参6g,鹿胶10g,龟胶10g,枸杞15g,党参15g,白术10g,巴戟天10g,补骨脂10g,当归10g,川芎6g,白芍10g,生地10g,附子10g。水煎服。

(85)消三多方(《中国中医秘方大全》)主治消渴证:人参5g(党参倍量),知母10g,生石膏30g,黄连9g,阿胶9g,白芍15g,天花粉9g,山药15g,黄精15g,蒸首乌15g,麦门冬9g,地骨皮9g,鸡子黄2枚。水蒸服。 (86)人参甘草汤(《中国中医秘方大全》)主治重症肌无力危象:别直参(另煎冲)9g,炙甘草9g,蛤蚧尾1对(研冲),坎2具,大熟地30g(沉香粉1.5g同捣),煅龙骨30g,煅牡蛎30g,黑锡丹30g(包煎),淡附片12g,鲜竹酒30ml(冲),生姜汁2~3滴(冲)。水熙服。

(87)滋肾益母汤(《中国中医秘方大全》)治垂体前叶机能减退症:红参10g,当归15g,川芎15g,白芍15g,茯苓15g,熟地15g,白木10g,益母草10g,肉桂10g,淫羊藿10g,甘草10g。水煎服。

⑽中国秘方全书》:“治肾亏,精薄精冷:人参3g,白术、山茱萸、菟丝子、巴戟天各30g,山药15g,肉桂3g。煎服,连服10剂。” (89)《中国秘方全书》:“治骨髓炎:人参4.5g,晋生黄芪15~24g,生术9g,茯苓9g,当归9g,川白芍9g,老熟地15g,川芎9g,甘草3g,肉桂1.5g(另包吞眼)。水煎服。” (90)益气生髓汤(湖南中医杂志 1988;(4))治再生障碍性贫血:人参粉、冬虫夏草各6g,当归、淫羊藿各10g,枸杞子、女贞子、鸡血藤各12g,白芍15g,黄芪、首乌各30g。每日1剂。

(91)骨疽胶囊(中原医刊 1988;(4))治骨与关节结核:人参、黄芪、当归、金银花、蒲公英、鹿角胶、穿山甲、补骨脂、木鳖子、地骨皮、制没药、川断、红花、蜈蚣、龟板、全虫、蜥虎各1份组成。上药烘干后研粉,过筛装入胶囊,每粒重0.5g。1日2次,每次2~5粒,温开水送服,连服90~120天为1疗程。 (92)《中国秘方全书》:“治近视:人参、杏仁(泡去皮尖)、牛膝、石斛、枸杞子各30g,犀角、防风各24g,菊花、菟丝子、熟地、青葙子、枳壳(麸炒)、茯苓、白蒺藜(去刺),草决明、羚羊角、山药各30g,天冬、麦冬、生地各90g,川芎、黄连、五味子、甘草各21g。先将人参、茯苓、草决明、犀角、羚羊角、山药、黄连研粉,其余的药熬成膏,与研好的药粉,做成粉丸,如梧桐子大,每次服用5~10丸,空腹时用盐汤送下。” (93)《中国秘方全书》:“治充血性心力衰竭:高丽参10g,粉党参(西洋参)6g,大红枣5枚。放入特制瓷质之陶罐中,注以清水,置内锅,外锅加水,文火清蒸,至少3小时后方可取出,趁热服之。连服5剂,可使肿消,其效神奇。” (94)《中国秘方全书》:“治心脏缺氧:高丽参(红参)3g,西洋参3g,麦冬6g,黄芪6g,陈皮3g。400ml水煮成200ml,第2次再加水煮成1600ml,每天1次,从秋季开始,服半年。” (95)化癥液(《中国中医秘方大全》)治急慢性心功能不全:红参0.45g,附子0.15g,川芎0.9g,大黄0.3g。制成2ml静脉注射液。

以20ml加入10%葡萄糖液250ml,每日静滴1次。 (96)治心丸(《中国中医秘方大全》)治潜在型、慢性克山病:人参15g,白术15g,当归15g,川芎15g,甘草10g,茯苓20g,半夏10g,陈皮10g,黄芩40g,栀子30g,生地15g,熟地15g,共研细末,炼蜜为丸,每丸重1.5g。每日早晚吞服2丸,轻者1丸,3个月为1疗程。 (97)《临床验方集锦》:“治窦性心动过缓:红参11g,附子32g,干姜11g,麦冬35g,吴茱萸11g。上药共研为细末,每日3次,每次9g,温开水送服。”

单方应用 ❶ 人参茎叶浸膏(《中国中医秘方大全》)治疮疖:人参茎叶适量,洗净后放适量水煎煮1~2次,去渣合并滤液,再用文火煎至较稠之浸膏,装入广口瓶中,高压灭菌30分钟后,密封备用。同时,将浸膏涂于消毒好的厚纸贴敷患处,隔日1次。
❷ 中西医结合杂志 1984;(2):“治重症肝炎用激素时的不良反应:红参9g,三七3g。每日1~3次,口服或用鼻饲。


❸ 新中医 1985;(1):“治颜面痈肿属气血虚弱者:人参茎叶及杂根。上药洗净,放适量水中煎煮1小时,去渣,再用文火煎至较稠之浸膏,装入广口瓶中高压灭菌30分钟后,将浸膏涂于消毒好的厚纸上帖于患处,2日换药1次,3次为1疗程。”
❹ 《中国秘方全书》:“治用声过度引起的声音沙哑:人参丝少许,泡滚开水喝,2~3次即愈。”
❺ 参胎片(《湖北中草药志》)治体质消瘦,神经衰弱:人参250g,胎盘粉500g,淀粉400g。研为细粉,加淀粉粘合剂500g,每次6~9g,1日3次,口服。

❻ 《陕甘宁青中草药选》:“治肺虚气喘:人参6g,胡桃肉15g,水煎服。”
❼ 中医杂志 1955;(1):“治心原性休克,或其它一时极端垂危病人的急救:人参9~30g,煎服或炖服,或人参注射液(含生药0.75g/ml)2~4ml,肌肉或静脉注射。”

食疗 ❶ 《纲目》:“治消渴引饮:人参3g为末,鸡子清3g,日3~4服。”
❷ 《百一选方》:“治心气虚损,怔忡而自汗:猪腰子1只,用水煮,入人参15g,当归(上去芦,下去细者),15g,同煮。吃腰子,以汁送下,有吃不尽腰子,同上2味药渣,焙干,为细末,山药糊丸如梧桐子,每服30~50丸。”
❸ 《中国民间小单方》:“治咳血:人参9g,研末,用鸡蛋清调服。”
❹ 人参酒(《纲目》)治久病气虚,肺虚气喘,津伤口渴,消渴,心神不安,失眠多梦:人参全者1枝,用酒500g浸泡干净瓶中3~5日,每早、晚各空腹饮15~30ml。

❺ 参术酒(《药酒验方选》)治脾胃气虚气短无力,面黄形瘦,食少便溏,人参20g,甘草(炙)30g,白茯苓40g,白术(炒)40g,生姜20g,大红枣30g。上6味共捣碎,用黄酒1000g浸3日后去渣备用。每日早、晚各1次,每次空腹温饮50~100ml。

❻ 人参茯苓酒(《药酒验方选》)治气血亏损:人参30g,生地30g,茯苓30g,白术30g,白芍30g,当归30g,红曲面30g,川芎15g,桂圆肉120g。上9味,用高粱酒2000g浸4~5日,去渣,加冰糖250g,每日任量徐徐饮之。
❼ 长生固本酒(《寿世保元》)治气阴两衰所致的四肢无力,易于疲倦,腰酸腿软,心烦口干,心悸多梦,头昏:人参、甘枸杞子、淮山药、辽五味子、天门冬、麦门冬、怀生地黄、怀熟地黄各60g,酒15000ml。将上药,浸于酒中数日,取出静置后即可饮用,每次饮30ml,每早、晚各服1次。
❽ 琼浆药酒(《北京市中成药规范》)治肾阳虚损,精血耗伤,气血虚弱出现的腰酸腿软,四肢乏力,手足不温,精神不振,阳痿不举,阴囊湿冷,遗精早泄,腰酸寒冷,妇女白带清稀等症人参60g,鹿茸、桂圆肉各30g,熟附片120g,陈皮90g,狗脊、枸杞子、补骨脂各120g,黄精60g,金樱子肉40g,韭菜子、淫羊藿各120g,冬虫草60g,淮牛膝、灵芝各120g,当归、佛手、驴肾各60g,雀脑50g,红糖3000g,红曲240g,白蜜500g,白酒(45度)50000ml浸提后,适量饮用。
❾ 延寿九仙酒(《明医选要济世奇方》)治诸虚百损,返老还童:人参、白术(炒)、茯苓、甘草(炒)、当归、川芎、熟地、白芍(酒炒)各60g,枸杞子125g,生姜60g,大枣(去核)30枚。

煮好酒适量,不拘时随量饮之。
❿ 回春酒(《同寿录》)治体质虚弱,精神不振者,尤其是老年人:人参30g,荔枝肉1000g,白酒2500ml。

入酒浸3日后即可用。

每天早、晚各服50~100ml。 ⑾精神药酒(《四川中医》)利于延年益寿:东北人参、干地黄、甘枸杞各15g,淫羊藿、沙苑子、母丁香各9g,沉香、远志肉各3g,荔枝核7枚,高粱白酒1000ml(60度)。将上药浸于酒中,45天后即可饮用,每次饮10ml,每日1次。

⑿清蒸人参(《吉林菜谱》)治劳伤虚损,食少,倦怠,健忘,眩晕头痛,阳痿,尿频,气血不足等:人参15g,母鸡1只,火腿、水发玉兰片各10g,水发香菇15g。蒸烂熟,分数次佐餐食。 ⒀参茸熊掌(《吉林菜谱》)治气血不足.人参15g,鹿茸1g,净熊掌1000g,猪肉250g,鸡肉250g,鸡汤1000g,蒸熟,分数次佐餐食。

⒁人参莲肉汤(《家庭药膳手册》)治病后体虚,气弱,脾虚,食少,自汗,泄泻等.人参10g,莲子10枚,冰糖30g。

隔水蒸炖。 ⒂人参粥(《食鉴本草》)治老年体虚弱,五脏虚衰,久病羸瘦,劳伤亏损,食欲不振,慢性腹泻,心慌气短,失眠健忘等一切气血津液不足的病证,人参末3g,粳米100g。

冰糖少量,同入砂锅煮粥。宜秋冬季早餐空腹食用。

⒃参苓山药圆(《家庭药膳手册》)治消化不良,气短懒言,腰膝酸软。亦可健康人食用,益寿延年:人参、茯苓、山药各10g,豆沙泥30g。

干糯米粉、白糖、熟猪油各适量。 ⒄人参鹿肉汤(《家庭药膳手册》)治阳痿、早泄等:人参、黄芪、芡实、肉桂、白芍、益智仁、仙茅、泽泻、枣仁、准山药、远志、当归、菟丝子、怀牛膝、淫羊藿、生姜各3g,鹿肉250g。

❶ 张元素《医学启源》:“人参,善治短气,非升麻为引用不能补上升之气,升麻一分,人参三分,可为相得也;若补下焦元气,泻肾中之火邪,茯苓为之使、”
❷ 李杲:“人参,能补肺中之气,肺气旺则四脏之气皆旺,肺主诸气故也,仲景以人参为补血者,盖血不白生,须得生阳气之药乃生,阳生则阴长,血乃旺矣 若阴虚单补血,血无由而生,无阳故也”“《本草》十剂云,补可去弱,人参、羊肉之属是也。

盖人参补气,羊肉补形,形气者,有无之象也、”“人参得黄芪、甘草,甘温除大热,泻阴火,补元气,为疮家圣药。”
❸ 王好古汤液本草》:“人参,味既甘温,调中益气,即补肺之阳,泄肺之阴也,若便言补肺,而不论阴阳寒热,何气不足、则误矣,若肺受寒邪,宜此补之,肺受火邪不宜用也 肺为清肃之脏,贵凉而不贵热,其象可知,若伤热则宜沙参 人参补五脏之阳也,沙参苦微寒,补五脏之阴也,安得不异。”
❹ 王纶《本草集要》:“酒色过度,损伤肺肾真阴,阴虚火动,劳嗽吐血咳血等证勿用之。盖人参入手太阴,能补火,故肺受火邪者忌之若误服参、芪甘温之剂,则病日增,服之过多则死不可治。盖甘温助气,气属阳,阳旺则阴愈消,唯宜苦甘寒之药生血降火❺ 靳起蛟本草公编):“丹溪言:虚火可补,须用参、芪。又云,阴虚潮热,喘嗽,吐血,盗汗等证,四物汤加人参、黄柏、知母。

又云,肺肾受伤,咳嗽不愈,凉玉膏主之。又云,肺虚极者,独参膏主之。是知阴虚劳瘵之证,未尝不用人参也。古今治劳,莫过于葛可久,其独参汤,保真汤,何尝废人参而不用耶?”
❻ 薛己《薛氏医案》:“人参但入肺经,助肺气而通经活血,乃气中之血药也,《补遗》所谓入手太阴而能补阴火者,正此意也.”“人参一品,古方解散之药及行表药中多用此者、亦取其通经而走表也。”
❼ 陈嘉谟《本草蒙筌》:“大抵人参补虚,虚寒可补,虚热亦可补;气虚宜用,血虚亦宜用。虽阴虚火动,劳嗽吐血,病久元气虚甚者,但恐不能抵当其补,非谓不可补尔。

古方书云,诸痈不宜服参、芪,此亦指暴病气实者而言,若久病气虚而痛,何尝拘于此耶?东垣治中汤,同干姜用治腹痛吐逆者,亦谓里虚则痛,补不足也。是以医家临病用药,贵在察证虚实为先,当减当加,自合矩度。”
❽ 李言闻《月池人参传》:“人参,生用气凉,熟用气温,味甘补阳,微苦补阴。如土虚火旺之病,则宜生参凉薄之气,以泻火补土,是纯用其气也;脾虚肺怯之病,则宜熟参甘温之味,以补土而生金,是纯用其味也。东垣以相火乘脾,身热而烦,气高而喘。头痛而渴,脉洪而大者,用黄柏佐人参。孙真人治夏日热伤元气,人汗大泄,欲成痿厥,用生脉散以泻热火而救金水,君以人参之甘寒,泻火而补元气,臣以麦门冬苦甘寒,清金而滋水源,佐以五味子之酸温,生肾精而收耗气,此皆补天元之真气,非补热火也。白飞霞云:人参炼膏服,回元气于无何有之乡,凡病后气虚及肺虚嗽者并宜之。

若气虚有火者,合天门冬膏对服之。

”“李东垣亦言生脉散,清暑益气汤,乃三伏泻火益金之圣药,而雷反谓发心痃久(据张骥辑本《雷公炮炙论》‘久’作‘之’)患,非矣,痃乃脐旁积气,非心病也。

人参能养正破坚积,岂有发痃之理,观张仲景冶腹中寒气上冲,有头足上下痛不可触近,呕不能食者,用大建中汤可知矣。又海藏王好古言人参补阳泄阴,肺寒宜用,肺热不宜用,节斋下纶因和之,谓参、芪能补肺火,阴虚火动失血诸病,多服必死,二家之说皆偏矣。

夫人参能补元阳,生阴血而泻阴火,东垣李氏之说也明矣。仲景张氏言亡血血虚者,并加人参。又言肺寒者去人参加干姜,无令气壅。

丹溪朱氏亦言虚火可补,参、耆之属;实火可泻,芩、连之属。

二家不察三氏之精微,而谓人参补火,谬哉。凡人面白、面黄、面青黧悴者,皆脾肺肾气不足,可用也。面赤,面黑者,气壮神强,不可用也。脉之浮而芤濡虚大、迟缓无力,沉而迟涩弱细,结代无力者,皆虚而不足,可用也;若弦长紧实,滑数有力者,皆火郁内实,不可用也。

洁古谓喘嗽勿用者,痰实气壅之喘也;若肾虚气喘短促者,必用也。

仲景谓肺寒而咳勿用者,寒束热邪,壅郁在肺之咳也;若自汗恶寒而咳者必用,东垣谓久病郁热在肺勿用者,乃火郁于内,宜发不宜补也;若肺虚火旺,气短自汗者必用也。丹溪言诸痛不可骤用者,乃邪气方锐,宜散不宜补也;若里虚吐利及久病胃弱,虚痛喜按者必用也。节斋谓虚火旺勿用者,乃血虚火亢能食,脉弦而数,凉之则伤胃,温之则伤肺,不受补者也;若自汗气短,肢寒脉虚者必用也。

如此详审,则人参之可用不可用,思过半矣。”
❾ 缪希雍《本草经疏》:“人参能回阳气于垂绝,却虚邪于俄顷。其主治也,则补五脏,盖脏虽有五,以言乎生气之流通则一也,益真气,则五脏皆补矣。邪气之所以久留而不去者,无他,真气虚则不能敌,故留连而不解也。兹得补而真气充实,则邪白不能容。清阳之气下陷,则耳目不聪明,兼之目得血而能视。阳生则阴长,故明目。真气内虚,故肠胃中冷,气旺阳回则不冷矣。

心腹鼓痛者,心脾虚故也,二脏得补,其痛自止。胸胁逆满者,气不归元也,得补则气实而归元也,脾胃俱虚,则物停滞而邪客之,故霍乱吐逆也,补助脾胃之元气,则论证自除。调中者,脾治中焦,脾得补则中自调矣。消渴者,津液不足之侯也,气回则津液生,津液生则渴自止矣。

通血脉者,血不自行,气壮则行,故通血脉,破坚积者,真气不足,则不能健行而磨物,日积月累,遂成坚积。脾主消化,真阳之气回,则脾强而能消,何坚积之不磨哉。令人不忘者,心主记,脾主思,心脾二脏之精气满,则能虑而不忘矣。”“人参本补五脏真阳之气者也,若夫虚羸怯,劳役饥饱所伤,努力失血,以致阳气短乏,陷入阴分,发热倦怠,四肢无力;或中热伤暑者,暑伤气,无气以动;或呕吐泄泻,霍乱转筋,胃弱不能食,脾虚不磨食;或真阳衰少,肾气之绝,阳道不举,完谷不化,下利清水,中风失音,产后气喘,小儿慢惊,吐泻不止,痘后气虚,溃疡长肉等证,投之靡不立效,唯不利于肺家有热,咳嗽,吐痰,吐血,衄血,齿衄,内热骨蒸,劳瘵阴虚火动之候。

又有麻疹初发,虽热而斑点未形,伤寒始作,形证未定而邪热方炽,若误投之,鲜克免者。斯皆实实之害,非药可解。


❿ 倪朱谟《本草汇言》:“人参,补气生血,助精养神之药也。故真气衰弱,短促气虚,以此补之,如荣卫空虚,用之可治也;惊悸怔忡,健忘恍惚,以此宁之;无神不足,虚羸乏力,以此培之,如中气衰陷,用之可升也。

又若汗下过多,精液失守,用之可以生津而止渴;脾胃衰薄,饮食减常,或吐或呕,用之可以和中而健脾;小儿痘疮,灰白倒陷,用之可以起痘而行浆;妇人产理失顺,用力过度,用之可以益气而达产。若久病元虚,六脉空大者;吐血过多,面色萎白者;疟痢日久,精神萎顿者;中热伤暑,汗竭神疲者;血崩溃乱,身寒脉微者;内伤伤寒,邪实气虚者;风虚眼黑,旋晕卒倒者,皆可用也。” ⑾李中梓《本草通玄》:“肺家本经有火,右手独见实脉者,不宜骤用(人参),即不得已而用之,必须盐水焙过,秋石更良,盖盐能润之,且参畏卤盐故也。若夫肾水不足,虚火上炎,乃刑金之火,正当以人参救肺,何忌之有?” ⑿张景岳《本草正》:“人参,气虚血虚俱能补,阳气虚竭者,此能回之于无何有之乡;阴血崩溃者,此能障之于决裂之后。

唯其气壮而不辛,所以能固气;唯其味甘而纯正,所以能补血。故凡虚而发热,虚而自汗,虚而眩晕,虚而困倦,虚而惊惧,虚而短气,虚而遗泄,虚而泻利,虚而头疼,虚而腹痛,虚而欲食不运,虚而痰涎壅滞,虚而咳血吐血,虚而淋沥便闭,虚而呕逆躁烦,虚而下血失气等症,是皆必不可缺者。

第欲以气血相较,则人参气味颇轻而属阳者多,所以得气分者六,得血分者四,总之不失为气分之药。而血分之所以不可缺者,而未有气不至而血能自至者也。故扁鹊曰,损其肺者益其气,须用人参以益之,肺气既旺,余脏之气皆旺矣。所以人参之性多主于气,而凡脏腑之有气者,皆能补之。

然其性温,故温亦能成热,若云人参不热则可,云人参之凉,恐未必然。是以阴虚而火不盛者,自当用参为君,若阴虚而火稍盛者,但可用参为佐,若阴虚而火大盛者,则诚有暂忌人参。

而惟用纯甘壮水之剂,庶可收功一证,不可不知也。” ⒀张璐《本经逢原》:“喻嘉言曰,伤寒有宜用人参入药者,发汗时元气大旺,外邪乘势而出,若元气虚弱之人,药虽外行,气从中馁,轻者半出不出,留连致困,重者随元气缩入,发热无休,所以虚弱之人,必用人参入表药中,使药得力,一涌而出,全非补养之意。即和解药中,有用人参之大力居间,外邪遇正,自不争而退舍,亦非偏补一边之意。而不知者谓伤寒无补,邪得补弥炽,断不敢用,殊失《本经》除邪气之旨矣。

古今诸方,表汗用参苏饮、败毒散,和解用小柴胡,解热用白虎加人参汤、竹叶石膏汤,攻下用黄龙汤,领人参深入驱邪,即热退神清。从仲景至今,明贤方书,无不用人参,何以今日医家屏绝不用。殊不知误用人参杀人者,皆是与黄芪、白术、干姜、当归、肉桂、附子同行温补之误所致,不与羌、独、柴、前、芎、半、枳、桔等同行汗和之法所致也。又痘疹不宜轻用人参者,青干黑陷,血热毒盛也,若气虚顶陷,色白,皮薄、泄泻、浆清,必用也。

” ⑾陈上铎《本草新编》:“人参,宜同诸药共用,始易成功。如提气也,必加升麻,柴胡;如和中也,必加陈皮,甘草;如健脾也,必加茯苓,白术;如定怔忡也,必加远志,枣仁;如止咳嗽也,必加薄荷,苏叶;如消痰也,必加半夏,白芥子;如降胃火也,必加石膏,知母;如清阴寒也,必加附子,干姜;如败毒也,必加芩,连,栀子;如下食也,必加大黄,枳实。用之补则补,用之攻则攻,视乎配合得宜,轻重得法而已。然而人参亦有单用一味而成功者,如独参汤,乃一时权宜,非可恃为常服也。

盖人气脱于一时,血失于顷刻,精走于须臾,阳绝于旦夕,他药缓不济事,必须用人参一二两,或四五两,作一剂煎服以救之,否则阳气遽散而死矣,此时未尝不可杂之他药,共相挽同,诚恐牵制其手,反致功效之缓,不能返之于无何有之乡。一至阳回气转,急以他药佐之,总得保其再绝,否则阴寒逼人,又恐变生不测。

可见人参必须有辅佐之品,相济成功,未可专恃一味,期乎必胜也。” ⒂徐大椿《本草经百种录》:“或曰仲景《伤寒论》方中病未去而用参者不少,如小柴胡,新加汤之类,何也?曰,此则以补为泻之法也。古人曲审病情,至精至密,知病有分有合,合者邪正并居,当专于攻散,分者邪正相离,有虚有实,实处宜泻,虚处宜补,一方之中兼用无碍,且能相济。则用人参以建中生津,拓出邪气,更为有力。若邪气尚盛而未分,必从专冶,无用参之法也。况用之亦皆入疏散药中,从与熟地,萸肉等药同入感证方中者,明乎此而后能不以生人者杀人矣。

” ⒃严洁《得配本草》:“人参,得当归活血,配广皮理气,配磁石治喘咳气虚上浮,配苏木治血瘀发喘,配藜芦涌吐痰在胸膈;佐石菖蒲、莲肉,治产后不语;佐羊肉补形;使龙骨摄精。入峻补药崇土以制相火,入消导药运行益健,人大寒药扶胃使不减食,入发散药驱邪有力,宜少用以佐之。

”“土虚火旺宜生用,脾虚肺怯宜熟用;补元恐其助火,加天冬制之;恐气滞,加川贝理之;加枇杷叶,并治反胃。” ⒄陈念祖《本草经读》:“人参,《本经》止三十七字,其提纲云,主补五脏,以五脏属阴也,精神不安,惊悸不止,目不明,心智不足,皆阴虚为亢阳所扰也。今五脏得甘寒之助,则有安之、定之、止之、明之、升之、益之之效矣。曰邪气者,非指外邪而言,乃阴虚而壮火食气,火即邪气也。今五脏得甘寒助,则邪气除矣。余细味《经》文,无一字言及温补回阳,故仲景于汗、吐、下阴伤之症,用之以救津液,而一切回阳方中,绝不加此阴柔之品,反缓姜、附之功。

故四逆汤、通脉四逆汤为回阳第一方,皆不用人参,而四逆加人参汤,以其利止亡血而加之;茯苓四逆汤用之者,以其在汗、下之后也。”“仲景一百一十三方中,用人参者,只有十七方,新加汤、小柴胡汤、柴胡桂枝汤、半夏泻心汤、黄连汤、生姜泻心汤、旋覆代赭石汤、干姜黄连黄芩人参汤、厚朴生姜半夏人参汤、桂枝人参汤、……竹叶石膏汤、炙甘草汤,皆是因汗、吐之后,亡其阴津,取其救阴,如理中汤、吴茱萸汤,以刚燥剂中阳药太过,取人参甘寒之性,养阴配阳,以臻于中和之妙也。” ⒅周岩《本草思辨录》:“心痞最不宜参,然以参佐旋覆、姜、夏,则参可用于散痞矣;腹胀最不宜参,然以参佐厚朴、姜、夏,则参可用于除胀矣。参能实表止汗,故有表证者忌之;若汗出后烦渴不解,于寒剂中用之何妨。

参能羁邪留饮,故咳症忌之;若肺虚而津已伤,于散邪蠲饮中用之何妨。参治往来寒热似疟,皆可用参矣;然外有微热即去参,《外台》于但寒但热,寒多热少之疟亦俱无参,唯疟疾发渴者用之。

盖补虚则助邪,寒热不均,则不可遽和;人参止渴,辅芩、栝之不逮也,参唯益阴,故能生津;利不止,虽脉微欲绝亦不加参,以利则阴盛,而参复益之也。然下与吐兼,或吐下之后,其中必虚,津必伤,参又在所必须。盖中土有权,则上下悉受其范,而不敢违戾也。” ⒆张锡纯《医学衷中参西录》:“辽人参,其补力热力,皆倍于党参,而其性状大约与党参相似。……方书谓人参不但补气,若以补血药辅之,亦善补血。愚则谓若辅以凉润之药,即能气血双补,盖平其热性不使耗阴,气盛自能生血也。

” ⒇张德裕《本草正义》:“古称人参,今有辽参、高丽参,党参之别,形色、性情、功效各有不同,考其气味主治,则《本经》:寒,而补五脏,安精神云云,皆似指辽参而言。《别录》则微温,而疗肠胃中冷,心腹鼓痛云云,皆似指高丽参而言。

若云皆即今之党参,则实不能具此力量。但上党之所产,岂古时本与辽参无别,而今之所谓潞党参者,别白一种乎?抑古今地气攸殊,古则同于辽参,而今遂成潞党乎?李濒湖《纲目》引陶弘景之言,已有上党来者,形长而黄,状如防风之说,则颇似今之党参;张璐《本经逢原》别出上党人参一条,但曰甘平清肺,又不似今之党参;惟吴遵程《本草从新》别出防风党参一条,则即今所通用之党参也。盖辽参、高丽参其力皆厚,惟一则甘而能清,~则甘而兼温,功力自别,若党参则为补脾和缓之药,而力量较为薄弱,三者之性情功用,迥乎不侔,乃不能一陶同冶而无区别。”“辽参微寒,功能养阴而清虚火,今用之虚阳偏炽者,甚有经验,证以《本草经》之所谓人参味甘微寒者,气味甚合。寻绎《本经》主治,皆滋养阴液,生津补血之功,而非补气同阳之药。是皆辽参之功用。

而非高丽参之兼有温性者可比。”“辽参,富有养液,而为补阴之最,脱血,脱汗,失精家宜之,固也。而肺燥干咳,胃枯燥渴,或干呕呃逆者,皆赖以滋液生津,而无寒降戕伐,粘腻浊滞之弊,功在沙参、玉竹、摧冬、以母之上,奚啻倍蓰,此其禀中和之气,不升不降,不倚不偏,所以可贵。或有以为阳药而补阳者固非,即以为补气而能挽回元气者,亦妄也。

”“高丽参,气味浓厚,色亦重浊,具有温养生发之性,今用之于脾肾虚寒,真阳衰弱及中气不振,阴寒用事诸证,功效甚捷,较之辽参偏于养阴,含有清凉气味者,性质迥异,证以《别录》之人参味甘微温,气味甚合”“高丽参之功用、本与辽参无甚差池,皆以养津滋液见长,补正固有奇功,去病亦尟实效。溪‘长于补虚,短于攻疾’八字,可为定论。

但辽参禀性醇正,绝无刚烈气象,是以滋养阴津,尤其独步,而高丽参则已有刚健姿态,温升之性,时时流露,所以能振作阳气,战胜阴霾。二者所主之病,虽同为阴枯血耗之候,惟阴虚之体,相火易升,则宜于辽参而不宜用于(高)丽参,若阴液既耗,而真阳亦衰,则宜用(高)丽参而不宜用辽参。一则养阴而兼理虚热,一则补阴而即以扶阳,各有专主,不容或紊。若治虚热而误用(高)丽参,无异抱薪救火,则欲苏涸辙之鲋,而灼其垂竭之脂膏;若治虚寒而误投辽参,几于落井下石,则欲黍谷之春,而适以陷绝于冰窖。

同是虚也,同是参也,在当用之时,而一字之争,已如水火冰炭之各异,彼夫风寒湿邪,痰饮食积,气血郁结之不得妄投是味者,更无庸言矣。”

随便看

 

离鸟网收录3541549条中英文词条,其功能与新华字典、现代汉语词典、牛津高阶英汉词典等各类中英文词典类似,基本涵盖了全部常用中英文字词句的读音、释义及用法,是语言学习和写作的有利工具。

 

Copyright © 2004-2024 vtrois.com All Rights Reserved
更新时间:2026/4/8 5:42:13