网站首页  词典首页


请输入您要查询的字词:

 

字词 满足点
类别 中英文字词句释义及详细解析
释义

满足点Bliss Point

满足点是经济政策理论中的一个概念。假设经济中的政策制定者有两个政策目标,分别记为T1和T2,假设对整个经济来说理想的T1和T2的值是T1*和T2*。如果经济是在T1*和T2*的水平上运行,经济就处于满足点,也就是社会福利最大化的点。假设政策制定者有两个政策工具,分别记为I1和I2,政策目标是政策工具的线性函数:

T1=a1I1+a2I2
T2=b1I1+b2I2

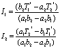
假设a1/b1≠a2/b2,此时要求解达到满足点的I1和I2,只需将T1*和T2*代入上式中,

T1*=a1I1+a2I2
T2*=b1I1+b2I2

求解这个方程组,就得到:

可见,在a1/b2≠a2/b2的条件下,通过选择适当的政策工具,总可以使经济达到满足点。如果a1/b1=a2/b2,政策制定者实际上只拥有一种独立的政策工具,通常不能用于实现二种目标。政策制定者只能选择使T1=T1*或T2=T2*,二者不能同时实现,经济不能位于满足点。如果政策工具的数目少于经济目标的数目,政策制定者同样也不能实现所有最优的社会目标,他们面临着各个不同目标之间的权衡问题。如政策制定者欲将产出和通货膨胀都设置在合意的水平上,但只有一种政策工具即货币政策。此时政策制定者的问题是最小化社会损失函数。假定社会损失函数的一个特定形式是

其中ΔQ**分别是社会最优的产出增量和价格水平增量,ΔQ,分别是实际的产出增量和价格增量。在这种情况下,称损失为零的点为满足点。社会无差异曲线是一些以满足点为圆心的同心圆,半径越大的同心圆代表的社会福利水平越低,政策制定者的目标就是选取政策工具达到离满足点最近的无差异同心圆上。
满足点

满足点Bliss Point

一种消费者均衡。在这种均衡状态中,消费者对消费品的特定量组合感到充分满足,而且这个充分满足点是在他的预算限制范围之内。这种情况通常在消费者不依据偏好的非饱和性假设行事时才会产生。
对于特定商品组合*和任一商品组合满足如下条件:


*就是满足点。
☚ 自动调整条款   消费者剩余 ☛
00000232
随便看

 

离鸟网收录3541549条中英文词条,其功能与新华字典、现代汉语词典、牛津高阶英汉词典等各类中英文词典类似,基本涵盖了全部常用中英文字词句的读音、释义及用法,是语言学习和写作的有利工具。

 

Copyright © 2004-2024 vtrois.com All Rights Reserved
更新时间:2026/4/8 8:57:28