网站首页  词典首页


请输入您要查询的字词:

 

字词 滴滴涕
类别 中英文字词句释义及详细解析
释义

滴滴涕dī dī tì

一种杀虫剂,成分是二氯二苯三氯乙烷,白色晶体。“滴滴涕”为英文DDT的音译,DDT是dichloro-diphenyltrichloro-ethane“二氯二苯三氯乙烷”的缩写。1948年9月《医药学》复刊版第二卷第五期:“‘生化滴滴涕’是中国第一家出品之DDT。”1949年《初级中学动物学课本》上册:“驱除牲畜身上的寄生虫,如马蝇、牛蝇等,可用‘滴滴涕’喷射,把成虫毒死。”◇DDT、二氯二苯三氯乙烷、二二三、氯苯乙烷。

滴滴涕DDT

最早使用的稳定性有机氯杀虫剂,是第一个人工合成杀虫剂。化学结构式:

1874年为德国蔡德勒(O.Zeidler)合成,1939年间经瑞士缪勒(P.Muller)发现其杀虫活性,1940年瑞士嘉基(Geigy)公司推荐作为杀虫剂使用。
性能 工业品是蜡状固体,无确切的熔点。含对,对′-异构体70%,邻对位异构体约30%。对,对′-异构体是白色结晶,熔点108.5℃,20℃时蒸气压2533帕,邻对位异构体熔点为74.0℃。不溶于水,易溶于大多数芳烃和氯代烃溶剂,在极性溶剂中,溶解度中等。化学性稳定,在日光曝晒和190℃以下亦极少分解,在碱性水溶液中也相当稳定,但在乙醇氢氧化钠水溶液中分解极快。对高等动物急性毒性中等,大白鼠口服LD50为 113毫克 /千克(雄),118毫克/千克(雌),经皮LD50 为2510毫克/千克(雌),能在自然界及生物体内较长时间滞留,并通过食物链富集,在动物体内,特别是脂肪组织内积累,可通过胚胎传给胎儿,通过母乳毒害婴儿,典型的累积性残留,对人体健康和生态环境都有不利影响。对,对′-异构体的杀虫活性大于邻对位异构体。主要是触杀和胃毒作用,无熏蒸和内吸作用,属非胆碱酯酶抑制剂,作用于中枢神经系统、神经膜的表面,使离子通透性改变,而影响轴突传导,引起兴奋、痉挛、麻痹而死。
应用 曾在全世界范围内广泛使用,在发展农业、林业和保障人体健康等方面,都发挥过重大作用。70年代以前主要用于防治棉花后期害虫、森林害虫以及卫生害虫等。对蚜、螨、蚧等毒杀作用不大。由于长期大量使用,导致大部分害虫对其产生抗药性。同时由于其稳定性太强,可在环境中长期残留,污染环境和食品,引起积累性毒性。不少国家在60年代后期就限制或禁止使用,中国1983年宣布停止生产和使用。

滴滴涕DDT

又称二二三。有机氯广谱杀虫剂。化学名称:二氯二苯三氯乙烷。化学结构式如下。工业品为白色、浅灰色或淡黄色固体。由两种都有杀虫活性的异构体对,对位(含70%)及邻对位(30%)异构体组成。化学性质稳定,挥发性小,日照下也不易分解,在高于溶点的温度下,可脱氯化氢分解,遇碱性物质分解。有强烈的触杀作用,并有一定的胃毒作用,杀虫作用较慢,持效性较好。对大鼠急性口服LD50为250 mg/kg。滴滴涕曾广泛用于防治粮、棉、油料、果树、蔬菜及林木的多种害虫(除蚜、螨、蚧等),也用于防治蚊、蝇等卫生害虫。但由于其在作物和环境中的残留期较长,进入人、畜体内后,能积累在脂肪组织和肝脏等器官中,造成慢性毒害。中国1983年起停止生产。

滴滴涕

有机氯杀虫剂,DDT。1874年德国O·蔡德勒研制成功。白色固体,含14种化合物。由于不易被微生物降解,在土壤中半衰期长达2.5~5年,因此容易造成农药污染,从20世纪70年代开始很多国家禁止使用,中国于1983年停止使用。

滴滴涕

滴滴涕diditi

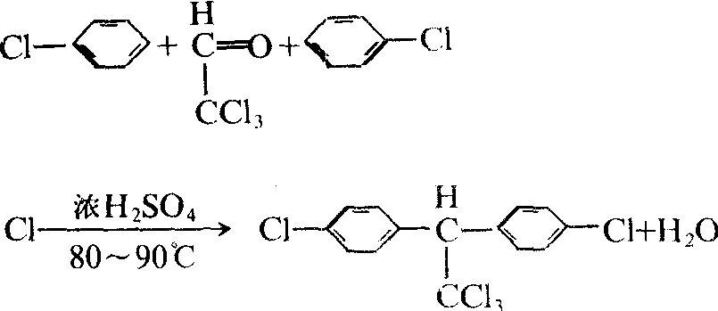
即DDT,二氯二苯基三氯乙烷的简称,俗称二二三,学名1,1,1-三氯-2,2双 (4-氯苯基) 乙烷。是有机氯杀虫剂,工业品为白色或浅黄色固体,略具杏仁香味。熔点高于90℃。不溶于水,溶于苯、二甲苯、丙酮、氯仿等多种有机溶剂。在酸性和中性介质中稳定,遇强碱易分解失效。工业上合成DDT分三步。



❶ 氯苯的制备:




❷ 三氯乙醛的制备:




❸ 用氯苯和三氯乙醛为原料,以浓硫酸为脱水剂进行缩合:


缩合反应在搪瓷釜中进行。除得到主产品对、对位异构体外,同时生成20%~30%的邻,对位异构体


工业原粉是混合物。只有占70%~80%的主产品才是主要的杀虫成分。DDT挥发性小,分解温度高达195℃,在日光下极少分解或挥发,因此无熏蒸杀虫作用,使用后残效期长。它是一种神经毒剂,击倒率高,但使昆虫死亡一般需要24h。DDT对昆虫作用是触杀和胃毒,它是广普性杀虫剂。除对蚜虫、红蜘蛛、介壳虫的毒杀作用很小外,对大多数害虫均有明显的毒害作用。工业原粉通常需加工成粉剂、可湿性粉剂和乳剂。农业上将5%和10%的粉剂分别用于防治棉花蕾铃期害虫和棉铃虫、卷叶虫和后期害虫如叶跳虫等; 50%可湿性粉剂和25%乳剂广泛用于防治棉花、水稻、小麦、果树、疏菜等咀嚼口器害虫。乳剂杀虫效果更高,但对植物药害也大。对DDT敏感的植物如瓜类、大豆、桃、梨等不宜使用。DDT在40~60年代是生产和使用的高峰,对防治病虫害及疟疾病的控制、促进农作物增产起到了很大作用。但因长期使用,许多害虫对它产生了抗药性,加之残留毒性比较严重,对人、畜有害,许多国家在70年代后已停止使用,我国在50年代使用量最大,1983年也已停止了生产。贮运和保存DDT时,严禁与碱性物质混合,避免与铁等金属接触,注意防潮高温及日光曝晒。
☚ 六六六   敌百虫 ☛

滴滴涕chlorophenothane,DDT

系一种杀虫药。本品对蚊、蝇、虱、蚤、臭虫均有杀灭作用。其制剂有5%乳液、5%煤油溶液、5%~10%粉剂及可湿性粉剂等。用时喷洒、涂搽均可,但不可喷洒在皮肤及食物上。遇碱分解失效。

滴滴涕

有机氯杀虫剂。化学名:二氯苯三氯乙烷。历史上曾广泛地用来防治农林害虫等。大量使用后,污染农畜产品,在人体内积累,防治害虫又易产生抗性,同时杀伤天敌。中国自1983年4月已停止生产并逐步停止使用。

滴滴涕

DDT


滴滴涕

DDT

随便看

 

离鸟网收录3541549条中英文词条,其功能与新华字典、现代汉语词典、牛津高阶英汉词典等各类中英文词典类似,基本涵盖了全部常用中英文字词句的读音、释义及用法,是语言学习和写作的有利工具。

 

Copyright © 2004-2024 vtrois.com All Rights Reserved
更新时间:2026/4/9 10:03:46