网站首页  词典首页


请输入您要查询的字词:

 

字词 人口倍增时间
类别 中英文字词句释义及详细解析
释义 人口倍增时间

亦称“人口增长加倍时间”。

指按照某种人口增长速度,人口总数增长一倍所需要的时间。人口增长速度愈快,人口倍增的时间愈短,反之,人口倍增的时间愈长。

在年平均人口增长速度为已知的条件下,求人口倍增所需时间的,计算公式为:

估计期人口总数=现有人口总数×(1+年平均人口增长速度)年数

pt=p1×(1+r)t

人口加倍,就是意味著:

pt=2·p1

即: (1+r)t=2

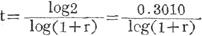
取对数:

tlog(1+r)=log2

假如平均每年人口增长速度为20‰,人口倍增的时间则为:

人口倍增所需时间的简便计算方法:估算期人口为pt应为现有人口总数的2倍,即pt=2p1。代入下式:

pt=p1ert

2p1=p1ert

2=ert

两边取自然对数,

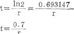
ln2=lnert=rt

上式只要有人口的平均每年增长率,即可得到答案。如前例平均每年人口增长率为0.2%,则:

随便看

 

离鸟网收录3541549条中英文词条,其功能与新华字典、现代汉语词典、牛津高阶英汉词典等各类中英文词典类似,基本涵盖了全部常用中英文字词句的读音、释义及用法,是语言学习和写作的有利工具。

 

Copyright © 2004-2024 vtrois.com All Rights Reserved
更新时间:2026/4/7 2:12:02