网站首页  词典首页


请输入您要查询的字词:

 

字词 灭草松
类别 中英文字词句释义及详细解析
释义

灭草松bentazone

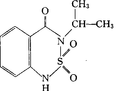
触杀型选择性阔叶杂草叶面处理杂环类除草剂,商品名苯达松、排草丹、Basagran。化学结构式:

1968年联邦德国巴斯夫(BASF)公司首先合成开发。
性能 纯品为白色无臭结晶,熔点137~139℃,200℃时分解,20℃时蒸气压为1×10-5帕。对水的密度为 1.22。20℃ 时在水中的溶解度为0.057%,在丙酮、苯、氯仿、乙醇中的溶解度分别为150.7%、3.3%、18%、86.1%。挥发性小,紫外线照射可产生一定的分解。其制剂为棕色水溶液,常温条件下贮存,其品质至少两年内稳定不变。低毒。原药大鼠急性经口LD50约为1100毫克/千克,急性经皮肤LD50大于2500毫克/千克。大鼠急性吸入作用浓度为1.2毫克/(升· 时),8小时未见异常。对家兔皮肤无刺激作用,但对眼睛粘膜有轻度刺激。大鼠和狗经90天饲养试验的无作用剂量分别为1600毫克/千克和3000毫克/千克。对鱼低毒。鲤鱼LC50(96小时)为1060毫克/升,对鸭急性口服LD50 为2000毫克/千克。对蜜蜂无害。主要通过杂草的叶面吸收。可抑制杂草的光合作用和水分代射,造成营养缺乏,使生理机能失调而致死。施药后8~ 16周,可被土壤中的微生物分解。
应用 主要用于水稻、大豆、花生、禾谷类作物田,防除莎草科和阔叶杂草,如扁秆藨草、矮慈姑、荸荠、鸭舌草、节节草、异型莎草、三棱草、苍耳、马齿苋、荠菜、繁缕、曼陀罗、苘麻、豚草、莎草及蓼等。大豆田使用: 在大豆苗后第一片复叶至第三片复叶期,田间杂草一般在2~ 5叶期,每公顷用25%灭草松水剂2250~ 3000毫升,对水450千克左右,均匀叶面喷雾。稻田使用: 直播田在播种30~ 40天后,移栽本田,在移栽15~20天后,杂草多处于3~ 5叶期,每公顷用25%的水剂3000~3750毫升,对水525千克左右,均匀叶面喷雾;施药前一天排干田间水层,施药后隔天上水,以后正常管理。防除莎草科杂草和阔叶杂草效果显著,对稗草无效。若田间稗草和三棱草都危害严重,可与其他除草剂先后使用或混用(如与禾草特、敌稗等混用)。麦田除草:在小麦2叶1心至3叶期,猪殃殃子叶至两轮叶,每公顷用25%灭草松水剂3000~3750毫升,对水450千克。均匀叶面喷雾。
要尽量在睛天、高温用药,施用后要求8小时内无雨。在稻田防除扁秆藨草、异型莎草等,麦田防除猪殃殃、繁缕等以采用与2甲4氯混用为好,可降低苯达松的用量。施药后喷雾器要用水反复清洗干净。大豆田在干旱或低温雨涝时施药,可能对大豆产生药害。

灭草松bentazone

又称排草丹、苯达松。有机杂环类选择性、触杀型除草剂。化学名称:3-异丙基-1H-2,1,3-苯并硫二氮杂苯-(4)-3H-酮-2,2-二氧化物。化学结构式如下。纯品为白色无臭结晶粉末,熔点为137~139℃,20℃时蒸气压小于13.3×10-7 Pa。微溶于水,易溶于丙酮、氯仿、乙醇等有机溶剂。挥发性小,在紫外光下可产生一定的分解。以触杀作用为主,兼具有轻微的内吸作用。可通过植物叶片进入植物体内,抑制光合作用,使杂草死亡。适于水稻、大豆、小麦、大麦等作物田使用,防除多种阔叶杂草,如猪殃殃、牛繁缕、大巢菜、荠菜、苋、藜、蓼、蒿、鸭舌草、泽泻、牛毛草、荆三稜、碎米莎草、萤蔺等。大豆田苗后杂草2~5叶期,稻田杂草3~5叶期,麦田苗后3叶期以后用药。稻、麦田可与2甲4氯混用,减少灭草松的用量。对人、畜低毒。大鼠急性口服LD50为1 100 mg/kg,大鼠急性经皮LD50>2 500 mg/kg。对鱼类低毒。

随便看

 

离鸟网收录3541549条中英文词条,其功能与新华字典、现代汉语词典、牛津高阶英汉词典等各类中英文词典类似,基本涵盖了全部常用中英文字词句的读音、释义及用法,是语言学习和写作的有利工具。

 

Copyright © 2004-2024 vtrois.com All Rights Reserved
更新时间:2026/4/7 1:51:07