网站首页  词典首页


请输入您要查询的字词:

 

字词 灭菌丹
类别 中英文字词句释义及详细解析
释义

灭菌丹folpet

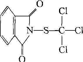
一种广谱保护性的有机硫杀菌剂。商品名Thiophal、Phaltan、费尔顿。化学结构式:

1949年由标准油类开发公司(Standard Oil Develop-ment Co.)即后来的奇佛龙化学公司(Chevron Chemi-cal Co.)开发。
性能 纯品为白色晶体,熔点180℃ 。20℃时蒸气压<133. 32×10-5帕。室温下在水中溶解度仅1毫克/升,微溶于有机溶剂。干燥时稳定,遇水缓慢水解,遇高温或在碱性条件下则迅速水解。本品无腐蚀性,但其水解产物有腐蚀性。大鼠口服10000毫克/千克没有死亡; 大白兔急性经皮LD50>22600毫克/千克。工业品按10000毫克/千克饲喂大白鼠17个月,未见病变或肿瘤;用含100~ 1000毫克/千克药量食物喂大鼠,连续三代对繁殖无不良影响。对鱼有毒。对蜜蜂无毒。对粘膜有刺激性。本品对白粉菌(Erysiphe spp.),黑星病菌(Venturia spp. ),小丛壳菌(Glomerella spp.),盘长孢菌(Gloeosporium spp.),单丝壳菌(Sphaerotheca spp.),叉丝单囊壳菌(Podos-phaera spp.),霜霉菌(Peronospora spp.),交链孢菌(Alternaria spp.),疫霉菌(Phytophthora spp.),葡萄孢菌(Botrytis spp.)等都有活性.
应用 主要作喷雾使用。按0.1%左右浓度药液喷雾,防治瓜类、蔬菜、葡萄霜霉病、白粉病;马铃薯、番茄早疫病、晚疫病;苹果炭疽病、黑星病、白粉病;草莓等的灰霉病等。0.2%左右浓度药液,防治小麦白粉病、锈病、赤霉病和花生叶斑病、烟草炭疽病、小稻纹枯病等。用药剂量偏大时,梨、甜樱桃、桃和葡萄的一些品种易生药害。本品除不宜与强碱性药剂和油剂混用外,可与多数常用农药混用。已有若干复配制剂问世,如Trimifol(与铜盐复配),Mycodifol(与敌菌丹复配)等。

灭菌丹folpet

三氯甲硫基类杀菌剂。化学名称:N-三氯甲硫基邻苯二甲酰亚胺。化学结构式如下。原药为白色结晶,难溶于水,微溶于有机溶剂,在干燥条件下稳定,碱性介质中分解。室温下遇水则缓慢水解而失效,并对金属有腐蚀作用。广谱性保护杀菌剂,可防治禾谷类作物、果树、蔬菜、茶树等多种作物病害,一般在发病前喷洒。还可用于蚕体防治蚕僵病。对人畜毒性低、大鼠口服急性LD50≥10 000mg/kg,对黏膜有轻微刺激作用。

灭菌丹

phaltam

随便看

 

离鸟网收录3541549条中英文词条,其功能与新华字典、现代汉语词典、牛津高阶英汉词典等各类中英文词典类似,基本涵盖了全部常用中英文字词句的读音、释义及用法,是语言学习和写作的有利工具。

 

Copyright © 2004-2024 vtrois.com All Rights Reserved
更新时间:2026/4/9 6:08:06