网站首页  词典首页


请输入您要查询的字词:

 

字词 灭锈胺
类别 中英文字词句释义及详细解析
释义

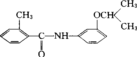
灭锈胺mepronil

又称担菌宁。酰胺类杀菌剂。化学名称:3-异丙氧基-2-甲基苯酰替苯胺。化学结构式如下。原药白色结晶,20℃时水中溶解度12.7 mg/kg,易溶于有机溶剂。在水中或pH5~9的弱酸、弱碱液中稳定,对光、热稳定,1981年日本组合化学工业公司开发。为选择性杀菌剂,对担子菌有特效,如水稻纹枯病、小麦锈病、梨锈病、棉立枯病、马铃薯菌核病等。通过种子处理,土壤处理,叶面喷洒,可抑制菌核萌芽、侵入菌丝块的形成、菌丝伸长,病斑扩大。有较长的残效,还可用于工业上防霉杀菌。如木材防腐,鱼网处理等,对植物安全,对大鼠急性口服LD50>10 000 mg/kg,经皮LD50>10 000 mg/kg,对兔眼黏膜无刺激,鲤鱼TLM(48 h)8.6mg/kg。

随便看

 

离鸟网收录3541549条中英文词条,其功能与新华字典、现代汉语词典、牛津高阶英汉词典等各类中英文词典类似,基本涵盖了全部常用中英文字词句的读音、释义及用法,是语言学习和写作的有利工具。

 

Copyright © 2004-2024 vtrois.com All Rights Reserved
更新时间:2026/4/9 4:46:49