网站首页  词典首页


请输入您要查询的字词:

 

字词 点与球面的关系
类别 中英文字词句释义及详细解析
释义
点与球面的关系

点与球面的关系dianyu qiumian de guanxi

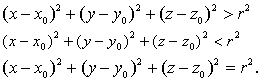
点P(x,y,z)在以P0 (x0,y0,z0)为球心,r为半径的球面的外部、内部和球面上的充要条件分别是

☚ 球坐标系   直线与球面的关系 ☛
00013357
随便看

 

离鸟网收录3541549条中英文词条,其功能与新华字典、现代汉语词典、牛津高阶英汉词典等各类中英文词典类似,基本涵盖了全部常用中英文字词句的读音、释义及用法,是语言学习和写作的有利工具。

 

Copyright © 2004-2024 vtrois.com All Rights Reserved
更新时间:2026/4/8 3:46:51