网站首页  词典首页


请输入您要查询的字词:

 

字词 烟流模式
类别 中英文字词句释义及详细解析
释义
烟流模式

烟流模式

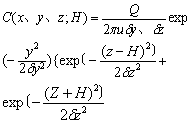
为高架连续点源扩散模式。所谓高架源是指距地面一定高度的排放源。首先假设污染物不沉降到地面,地面对污染物也没有吸收吸附作用,即地面就象镜子一样,对污染物起着全反射作用,根据像源法原理,空间一定的浓度可以认为是两部分贡献之和,即经数学推导,地面某点污染物浓度为:

式中δy、δz分别是y方向(水平扩散)、Z方向(铅直扩散)的标准差;u平均风速m/s;Q是源强g/s;此式即为高架连续点源扩散的基本公式,又称烟流模式。

☚ 高频噪声   排放标准 ☛
00002425
随便看

 

离鸟网收录3541549条中英文词条,其功能与新华字典、现代汉语词典、牛津高阶英汉词典等各类中英文词典类似,基本涵盖了全部常用中英文字词句的读音、释义及用法,是语言学习和写作的有利工具。

 

Copyright © 2004-2024 vtrois.com All Rights Reserved
更新时间:2026/4/8 21:32:03