网站首页  词典首页


请输入您要查询的字词:

 

字词 烟酰胺腺嘌呤二核苷酸
类别 中英文字词句释义及详细解析
释义

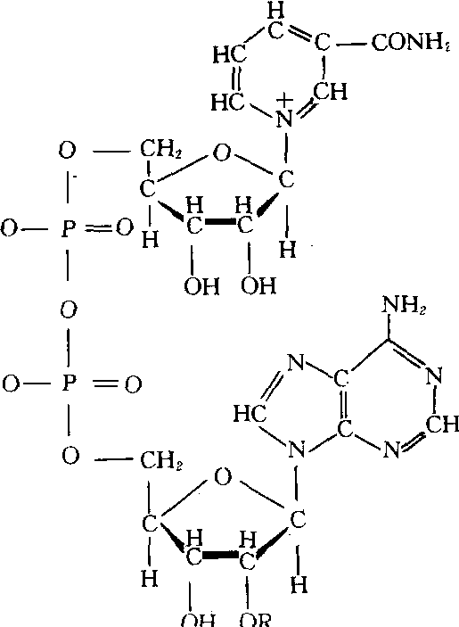
烟酰胺腺嘌呤二核苷酸nicotinamide adenine dinucleotide

又称辅酶Ⅰ。脱氢酶辅酶的一种。为烟酰胺核苷酸与腺嘌呤核苷酸的缩合物,存在氧化型和还原型两种形式,分别简写成NAD+和NADH +H+。含有维生素B5,其烟酰胺吡啶环在反应中可以可逆地进行脱氢和得氢(或得失电子)作用。为一些不需氧脱氢酶的辅酶,在生物体内起传递氢的作用。

NAD+和NADP+的结构NAD+:R=—HNADP+:R=—PO3H2

随便看

 

离鸟网收录3541549条中英文词条,其功能与新华字典、现代汉语词典、牛津高阶英汉词典等各类中英文词典类似,基本涵盖了全部常用中英文字词句的读音、释义及用法,是语言学习和写作的有利工具。

 

Copyright © 2004-2024 vtrois.com All Rights Reserved
更新时间:2026/4/8 5:15:58