网站首页  词典首页


请输入您要查询的字词:

 

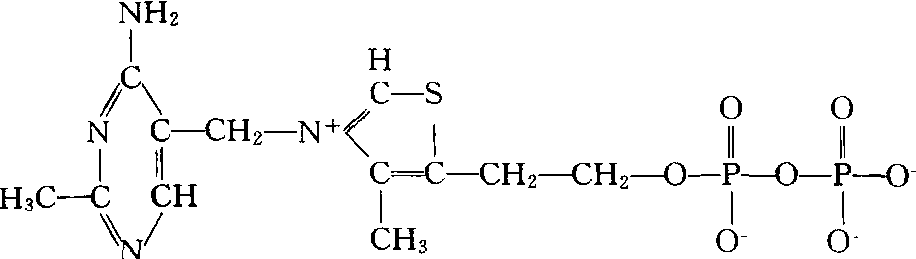
字词 焦磷酸硫胺素
类别 中英文字词句释义及详细解析
释义

焦磷酸硫胺素thiamine pyrophosphate,TPP

硫胺素焦磷酸酯。含有维生素B1。在催化反应中,分子内噻唑环2位碳上的氢解离形成负碳离子,与α-酮酸的羧基碳结合形成加成物,进而脱去二氧化碳生成相应的醛。为α-酮酸氧化脱羧酶和转羟乙醛基酶的辅酶,在糖的分解代谢和光合三碳循环中极其重要。

随便看

 

离鸟网收录3541549条中英文词条,其功能与新华字典、现代汉语词典、牛津高阶英汉词典等各类中英文词典类似,基本涵盖了全部常用中英文字词句的读音、释义及用法,是语言学习和写作的有利工具。

 

Copyright © 2004-2024 vtrois.com All Rights Reserved
更新时间:2026/4/7 2:49:19