网站首页  词典首页


请输入您要查询的字词:

 

字词 介电谱研究
类别 中英文字词句释义及详细解析
释义 介电谱研究

介电谱覆盖10-6~108Hz共达14个数量级的广阔频程,是研究分子结构、极性固体中空间电荷运动、弛豫过程和介电谱规律的最有效方法之一。

由于测量技术的改进和新效应的发现,传统的概念正面临著许多新的发展。物质的复介电常数ε(f)=ε′(f)-iε″(f)随频率f的变化关系在红外和更高频段表现为弱阻尼(共振)型,而在射频以下一般为强阻尼型。

德拜把强阻尼型称为弛豫型。

按照热力学的严格定义:一个宏观系统由于周围环境的变化或经受了一个外加作用变成非热平衡态,系统内部的微观运动可使它回复到热平衡态;由非热平衡态过渡到新的热平衡态的整个过程称为弛豫。

按照定义,物质和外加作用发生共振时,弛豫过程不仅存在而且还起著十分重要的作用。弛豫效应决定著共振色散和吸收的线型和线宽。

在热平衡下,系统的微观状态按一定的统计分布,例如按玻耳兹曼分布。在光频电磁场作用下,介质中出现光激发,跃迁到高能态的电子通过热跃迁或受激辐射回到低能态。弛豫时间被称为电子停留在高能态的寿命。

在红外辐射作用下晶格振动吸收其能量出现某种模式过多的声子,这些非平衡声子通过与其分子交换能量而恢复热平衡声子分布,非平衡声子寿命就是弛豫时间。以上两种弛豫过程规律决定于微观相互作用,因为微观相互作用通常比宏观作用强得多,因此系统宏观条件对弛豫时间的影响可以忽略。在射频和更低频段,介电谱出现另一种情况:系统中存在的局域电偶极矩的取向运动和束缚空间电荷的位移运动规律,决定著弛豫过程。

高分子聚合中存在侧基键提供的局域电矩。晶体缺陷和非晶固体中的深能级常束缚著一些空间电荷。它们在外电场作用下转至新的取向或位移至其它束缚位置,以适应于较低的能量状态。当外场除去后,它们要改变取向或束缚位置,而达到新的平衡态混乱分布,通常都要靠积累一定的热运动起伏能量以跨越某个位垒。

因此,这种弛豫时间较长并容易受系统所处的环境条件的影响。一般地介电谱研究射频和更低频率(不高于108Hz频段)的弛豫过程,从中可获得有关高分子的侧基键和固体中的束缚空间电荷运动规律的大量信息。

这是近代研究这类物质结构的最有效手段之一。

频域参数 早期,技术方面倾向于将物性参数描述为频率的函数以便于应用,这称为频域方法ε′(f)和ε″(F)就是介电谱中的频倾参数,代表复介电常数的实部和虚部。1899年H.Pellat归纳了早期的经验规律:

其中τ称为介电弛豫时间,εh为高频介电常数,εs为静态介电常数,τ的意义为在介质经阶跃式的外电场作用后,介质的极化强度按exp(-t/τ)的规律衰减。

任何绝缘电介质的电阻总不会是无穷大。

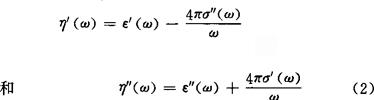
类似于ε(ω)可将非零的电导率写为复频域参数σ(ω)=σ′(ω)-iσ″(ω)。由电路技术容易理解σ的实部σ′和ε的虚部ε″等效,而σ的虚部σ″和ε实部ε′等效。

因此,物质对外电场的作用所能产生的极化和传导两种响应的特性参数可统一用广义介电常数(η)ω=η′(ω)-iη′(ω)来描述,从能量分析可以求出

许多学者还保留如下的认识:η(ω)的定义和(2)式的关系只是纯数学形式上的,因为传统认为ω→0时有σ″→0和ε″→0,于是η′→ε′→ε3,从而极化响应终归可以和电导响应分开。按照这种看法,η″(ω→0)是一个奇异点,而在ω→0时ωη″(ω)应等于和ω无关的常数4πσ′(0),σ′(ω=0)被理解为直流电电导率。由于从金属发展到半导体均未发现固体的电导率和频率在工频以下显著有关的现象,所以这种保留的认识还未碰到太大的困难。

然而技术上近年来却很希望找到在低频以下电导率强烈随频率而变化的材料,因为它关系到电力工业方面的重要应用。

概念上的最大困难在于如何理解ω→0的意义,什么是静态介电常数εs。根据上面的定义,ε(ω→0)以实数εs为极限。

今天的介电谱实验技术已可做到10-6Hz的超低频,但仍常发现显著非零的ε″(ω)和未等于常数的ε′(ω)。10-6Hz的频率相应于周期为11天,怎样才能算是ω=0的所谓静态呢?在许多高分子聚合物和其他一些固体中,局域电偶极矩和深束缚空间电荷往往处于亚稳态。亚稳态和基态能量相差不多,但要跨越很高的位垒才能由亚稳态返回基态,这时系统经外加作用后,要建立新的热平衡态常需要花-两星期甚至更长的时间。

70年代以来,电介质的压电和热释电效应技术的广泛应用,促使人们注意到这响应中也都存在类似于极化响应的弛豫现象。

就是说在电介质中响应一般均落后于外加作用。这使介电谱所研究的弛豫效应变得更为复杂。

时域测量技术 物性参数的频域描述方法本来是为了便于应用。但要在1Hz以下的频段进行物性参数的测量很困难,技术上根本无法进行,其实完全不同的另一种测量方法在19世纪末期就开始出现,直到1970年才开始被采纳。人们称这种测量方法为时域技术,它显得更加适用于弛豫过程的直接观察。

设在时间t=0时,体系经历了一次阶跃式的外加作用,称此后体系的响应时间变化的规律为阶跃响应函数F(t)。

例如,在(1)式的德拜型介电极化弛豫中,F(t)=exp(-t/τ)。理论上可以证明:只要响应是线性的,并且因果律成立,则(的傅里叶变换就等于频域参数,例如,将-exp(-t/τ)对t作偏微商,然后再作傅里叶变换,就可给出(1)式,线性响应通常是很好的近似,只要外加作用足够小,响应总是线性的。而因果律则更是物理学界一向默认的公理,意味著过去的事情可以影响将来,而未来的事情不能影响过去,因此时域测量技术是可以广泛使用的。现在看来时域测量比频域测量所需设备要简单得多,特别是低频端几乎不受限制,可推及10-1-6Hz而毫无困难。

时域技术是正在兴起的有效的测量技术。新的测量技术的出现总会暴露旧的认识中存在的矛盾并使之尖锐化。

许多电介质并不遵从(1)式的德拜型弛豫规律。为了找到响应函数F(t)的表示式,许多学者进行了大量艰深的理论研究工作,但结果总不能较好地符合实际,而实验工作者则试图寻找行之有效的经验公式,其结果反而使问题变得更为复杂化。

例如认为F(t)具有上述指数型衰减规律,而引入弛豫时间τ的分布函数的概念。无论是纯理论推导还是凭经验探索,为查明F(t)的物理意义和具体表示式而花费了巨大的努力,并且这种努力还在继续著。

可喜的是利用含时间过程的近代统计理论,证明了介电极化响应函数F(t)的物理意义是,它等于系统的总电偶极矩的自相关函数。但其具体表示形式因系统微观结构的复杂性而未能得出。

现代电子计算机技术的发展促使了一部分科学工作者向消极的方法发展。他们干脆不去理会F(t)的物理意义,只是单纯为了满足技术上作为测量频域物性参数方法的需要;直接将不同的时间t测得的大量数据进行微分和傅里叶变换的数学计算,以得到频域参数的最后结果,幸而计算机内存量已可足够随机寄存实验数据,从而促进了快速傅里叶变换(FFT)软件的开发。

但是,作为物理学问题,更重要的是要查明F(t)中隐含的物质微观结构和宏观物性之间的关系的信息。

电介质中其它的弛豫效应。介电谱方法是从研究电介质在外加电场作用下的极化弛豫效应开始了。

1966年以前,未曾注意到电介质的压电效应和热释电效应发生弛豫现象。1968年G.Arlt观察到极性高分子聚合物的压电常数有显著非零的虚部。因而线性不可逆热力学在介电极化效应中的应用被推广到压电效应。

在热力学中应力和应变各6个独立分量,电场和电位移各3个分量都是共轭量。在共轭物理量中一个被视为广义力,另一个为广义位移,两者的乘积有能量的意义。在两组共轭量中,各选一个为独立变量(作用),其余为应变量(响应),则作用矢量有9个分量,响应矢量也有9个分量,其间的关系用9×9矩阵联系,共有81个物性参数成为复数时,所描述的弛豫效应要比介电极化弛豫显得更为丰富多彩了。研究这些复杂的弛豫所得到的微观信息以及可能导致的新技术应用是令人鼓舞的。其中值得指出的是应力和应变是共轭量,联系两者的弹性系数中的虚部描述弹性弛豫,它必须是正值以代表物质形变过程中的内摩擦损耗。这正如电场和电位移是共轭量一样,联系两者的介电常数的虚部也必须是正值以代表介电损耗。

但是,应力或应变之一和电场或电位移之一,相互之间不是共轭量,关联两者的压电常数中的虚部描述的压电弛豫是一种交叉弛豫,它既是可为正值也可取负值,所代表的是能量转移而非损耗。

1982年,由于采用了电荷直接测量的精密的新方法,李景德发现了长时间热释电弛豫效应。

接著又发现了长时间的压电弛豫效应和长时间的压电弛豫效应。

由于使用了专门为弛豫效应基础研究设计的特别精密的测量方法,实验结果证实了唯象理论的预言,即同一样品的响应函数F(t)在不同环境条件下,可以出现两种不同的典型形式:在弛豫过程中若样品处于非零外加电场或应力作用之下,则F(t)-exp(t/τ),称为随机弛豫;若弛豫过程中系统处于恒温和无外加作用的自由环境,则,称之为自由弛豫。根据热力学的严格定义,频域物性参数的值同测量时样品所处的环境条件有关。同一个样品的同一个物性参数的恒应变(有外力作用)值和零应力(自由)值是不同的;其它环境条件的变化也会改变这个参数的值。

而F(t)和频域性参数通过傅里叶变换有唯一的联系,则由频域物性参数的逆傅里叶变换可以确信F(t)也和测量时样品所处的环境条件有关。热释电弛豫过程和压电弛豫效应证实了实验环境条件对弛豫规律的影响;将这个结果再用于介电极化弛豫过程规律的影响;将这个结构再用于电极化弛豫效应时,取得了完全的成功,并且进一步明确了不同条件下弛豫时间τ的意义。

时域物性参数 被广泛采用的物性参数只有由热力学严格定义的频域参数。

既然频域参数和响应函数通过傅里叶变换有唯一的联系,而响应函数F(t)的基本形式已经知道,就可以通过F(t)的热力学意义来严格定义时域参数,以表征物性。

用频域或时域参数表征物性,其作用是等效的。下面以极化响应为例来加以说明。

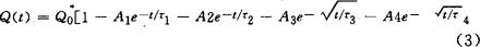
样品做成电容C,在测量前,先令C充电至电压U至平衡止。然后在t=0时,令C通过R放电,测量放电电荷的变化规律Q(t)。对于局域电偶极矩和束缚空间电荷,其响应频段一般落在10-5~104Hz,可令

其中(A1+A2+A3+A4)=1,τ1<τ2《τ3《τ4。而响应函数

称为(),(A2,τ2),(A3,τ3),(A4,τ4)为材料的时域物性参数,其中和εh相应的高频电容Ch=A1Q0/u,和εs相应的静态电容Cs=Q0/U;而τ1决定于RCh时间常数。

(3)式和(4)式是按随机和自由弛豫唯像理论定出的。A1项是由普通RCh放电电路所决定的。

在t不够大时样品电极上仍残存非零电压,故可能出现随机弛豫的项A2。当t》τ1时,样品电极已放电完毕,可认为是处于零电场的自由弛豫。因为研究的频段宽达9个数量级,故可能出现不同微观机构的自由弛豫A3和A4。在许多情况下,实际上有A2=A4=0.(τ1,τ2,τ3,τ4)分别为不同机构的弛豫时间;(A1,A2,A3,A4)分别为各微观机构对极化响应贡献的成分。

因此时域参数的物理意义十分明确,它把不同微观机构在极化响应中提供的信息分子分开了,从而使研究宏观物性和物质微观结构间的关系显得特别方便。当有必要研究更宽的频程时,可能出现更多的不同的随机或自由弛豫的项。

但至今未发现多于(3)式的4个项。如果改用图1(b)的测量方法,在t=0时加上充电电压U,则通过电阻R的充电电荷Q(t)仍可用(3)式和(4)式;但因子,因为此时样品始终处于外电场作用下,表现为随机弛豫。

测量电荷Q(t)的仪器总有非零输入电阻,任何测量电路也总不能做到零电阻,一般说来时域参数和R值有关;但当R足够小时各时域参数分别趋向稳定的极限值,称为短路参数;而当R足够大时,各时域参数则趋向于恒定的开路值,时域参数有短路和开路值之分。这和电介质的一般频域参数类似,它们也有短路值和开路值之分。在实际测量中,由数据Q(t)按(3)式拟合给出进域参数的过程简单,而(3)式各项的傅里叶变换均有积分公式,由时域参数可立即计算解决傅里叶变换问题的麻烦,因而所须测量的数据个数也可减少。

非线性参数 利用频域参数描述非线性材料很麻烦,有时甚至不可能。

例如用电介质非线性材料做成的电容器,其电容量和外加电压有关。通常的频域测量只能给出不同偏压下的电容值。

这只能是微分电容而不是总电容量随电压变化值,频域测量通常要外加1V左右的信号,若在此范围内已出现显著非线性,则其结果的意义就变得含糊。

定义出时域参数后描述非线性效应的方法变得简单了。

只要使用不同的电压U,就可以得到各时域参数随U变化的关系,当然,这时频域和时域参数之间的傅里叶变换关系因线性响应的假设条件下不成立而不存在,无法给出频域结果。这并不是时域的缺点,而是这种情况下,频域参数失去意义。

在氧化陶瓷非线性电容器的时域参数随外加电压U变化的实验中,片状样品面积为3.32cm2,厚0.0749cm,两面烧银电极。ZnO陶瓷具有非线性电阻,Ri就是样品电阻随外电压U的变化值。

在U<27V时,Ri>3MΩ,样品呈现电容性。这时它的极化机械可分为四种成分,弛豫时间τ1≈2.7ms,τ2≈20ms,τ3≈1s,τ4≈240s。

由于在实验电压范围内均有τ1<τ2《τ3《τ4,故4种机械提供的极化信息能很好地分开。其中A1Cs至A3Cs占的分量很小,而且表现为线性。

静态电容Cs的非线性效应来自成分A4Cs,成分A4可解释为间界层和晶粒之间存在著类似二极管的阻挡层;A4Cs在U=0上的峰值反映了和U同向那一边的阻挡层由高阻变为导通的过程,A4Cs在U=10V左右的峰值反映了和U反向那一边阻挡层的击穿导通过程。

介电谱方法从研究高分子聚合物发展到用来研究晶态物质的工作,近年来才刚刚开始。引用时域参数的概念后,介电谱方法显得更为有用了。

李景德曾经用类似方法研究TGS单晶的铁电相变过程,得出了有意义的新结果。

前面的实验结果还表明,ZnO变阻器的低压器的低压漏取决于两个阻挡层,而高电压下的非线性系数取决于两个阻挡层,而高电压下的非线性各级系数取决于间界层。

Pellat早在1899年就发表介电弛豫的论文,虽然80年代以来,介电谱技术在研究高分子聚合物中有了很大的发展并取得了许多重要成果,但在基本概念上仍局限于德拜在1929年定下的框架,也许因为德拜在物理学史上的重要贡献,使许多学者在弛豫时间定义上受他的影响,因而忽视了实验环境条件从而遇到许多麻烦。电介质物理学的重要关系显示了物性参数的定义和测量条件间的重要关系,近代测量方法精度的提高,导致发现自由弛豫时间和随机弛豫时间的不同意义,在此基础上找到了时域参数的表征方法。虽然一般说来技术应用上的频域参数表征物性较为方便,在频域参数无能为力时使用时域参数就更为有效,特别在关系到微观机理和非线性问题上,时域参数的作用是不可代替的。描述弛豫效应的两种参数即使等效,使用哪一种参数本质上也只是一个习惯问题。时域参数的提出对时域技术的改进及介电谱研究将起一定促进作用。

(中山大学李景德撰)

随便看

 

离鸟网收录3541549条中英文词条,其功能与新华字典、现代汉语词典、牛津高阶英汉词典等各类中英文词典类似,基本涵盖了全部常用中英文字词句的读音、释义及用法,是语言学习和写作的有利工具。

 

Copyright © 2004-2024 vtrois.com All Rights Reserved
更新时间:2026/4/9 6:19:52