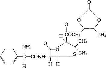
仑氨西林[中]
C21H23N3O7S=461.49 CAS-86273-18-9 2,3-二羟-2-丁烯基(2S,5R,6R)-6-[(R)-2-氨基-2-苯乙酰胺]-3,3-二甲基-7-氧代-4-噻-1-氮杂双环[3.2.0]庚烷-2-羧酸酯,环碳酸盐。 2,3-Dihydroxy-2-butenyl(2S,5R,6R)-6-[(R)-2-amino-2-phenylacetamido]-3,3-dimethyl-7-oxo-4-thia-1-azabicyclo[3.2.0]heptane-2-carboxylate,cyclic carbonate. 氨必西林(5-甲基-2-氧代-1,3-二氧杂环戊烯-4-基)甲基酯。 Ampicillin(5-methuyl-2-oxo-1,3-dioxol-4-yl)methyl ester. 抗生素类药。 Lenampicillin. INN,USAN.  |