他利霉素
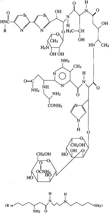
C68H110N22O27S2=1731.87 CAS-65057-90-1 N1-[4-氨基-6-[[3-[(4-氨基丁基)氨基]丙基]氨基]-6-氧代己基]-13-[(4-氨基-4,6-二脱氧-1-2-塔罗吡喃基)氧代]-19-去甲基-12-羟基-博菜霉素酰胺。 Bleomycinamide,N′-[4-amino-6-[[3-[(4-aminobutyl)amino]propyl]amino]-6-oxohexyl]-13-[(4-amino-4,6-dideoxy-1-2-talopyranosyl)oxy]-19-demethyl-12-hydroxy-. N1-[4-氨基-5-[[3-[(4-氨基丁基)氨基]丙基]氨甲酰基]戊基]-13-[(氨基-4,6-二脱氧-1-2-塔罗吡喃基)氧代]-19-去甲基-12-羟-博菜霉素酰胺。 N1-[4-Amino-5-[[3-[(4-aminobutyl)amino]propyl]carbamoyl]pentyl]-13-[(amino-4,6-dideoxy-α-Ltalopyranosyl)oxy]-19-demethyl-12-hydroxybleomycinamide. 抗生素类药。 Talisomycin,BU-2231A,Talisomycin A,Tallsomycin A,Tallsomycin,Antibiotic Bu 2231 A. INN,USAN.  |