他尔美辛
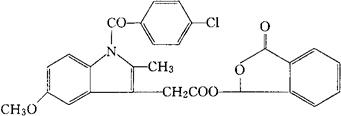
C27H20ClNO6=489.91 CAS-67489-39-8 (±)1-(4-氯苯甲酰基)-5-甲氧-2-甲基-1H-吲哚-3-醋酸盐1,3-二氢-3-氧代-1-异苯并呋喃基酯。 1-(4-Chlorobenzoyl)-5-methoxy-2-methyl-1H-indole-3-acetate 1,3-dihydro-3-oxo-1-isobenzofuranyl ester(±)-. (+)-1-对-氯苯甲酰-5-甲氧-2-甲基吲哚-3-乙酸的3-基羟苯并呋喃酮酯。 (+)-1-(p-Chlorobenzoyl)-5-methoxy-2-methylindole3-acetic acid,ester with 3-hydroxyphthalide. 消炎镇痛药,解热药。 他美辛。 Talmetacin,BA 7605-06. INN,USAN.  |