网站首页  词典首页


请输入您要查询的字词:

 

字词 他布比妥
类别 中英文字词句释义及详细解析
释义 他布比妥

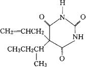
C11H16N2O3=224.26

CAS-115-44-6

5-(1-甲丙基)-5-(2-丙烯基)-2,4,6(1H,3H,5H)-嘧啶三酮。

5-(1-Methypropyl)-5-(2-propenyl)-2,4,6(1H,3H,5H)-pyrimidinetrione.

烯丙基-5-仲-丁基巴比土酸。

Allyl-5-sec-butylbarbituric acid.

催眠镇静药。

Talbutal,Lotusate,Lutawin,Lotusate,Profundol.

INN,USAN,USP.

随便看

 

离鸟网收录3541549条中英文词条,其功能与新华字典、现代汉语词典、牛津高阶英汉词典等各类中英文词典类似,基本涵盖了全部常用中英文字词句的读音、释义及用法,是语言学习和写作的有利工具。

 

Copyright © 2004-2024 vtrois.com All Rights Reserved
更新时间:2026/4/8 15:51:49