网站首页  词典首页


请输入您要查询的字词:

 

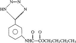
字词 他扎司特
类别 中英文字词句释义及详细解析
释义 他扎司特

C13H15N5O3=289.29

CAS-83989-25-1

氧代[[3-(1H-四唑-5-基)苯基]氨基]乙酸丁基酯。

Oxo[[3-(1H-tetrazol-5-yl)phenyl]amino]acetic acid butyl ester.

丁基3′-(1H-四唑-5-基)苯胺羰酸酯。

Butyl 3′-(1H-tetrazol-5-yl)oxanilate.

抗变态反应药。

Tazanolast,MTB,WP 833.

INN,USAN.

随便看

 

离鸟网收录3541549条中英文词条,其功能与新华字典、现代汉语词典、牛津高阶英汉词典等各类中英文词典类似,基本涵盖了全部常用中英文字词句的读音、释义及用法,是语言学习和写作的有利工具。

 

Copyright © 2004-2024 vtrois.com All Rights Reserved
更新时间:2026/4/8 4:40:44