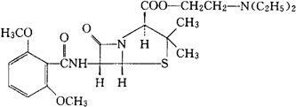
他甲西林
C23H33N3O6S=479.59 CAS-56211-43-9 (2S,5R,6R)-6-(2,6-二甲氧苯甲酰氨基)-3,3-二甲基-7-氧代-4-硫代-1-氮杂双环[-3.2.0]庚烷-2-羧酸2-(二乙氨基)乙酯。 2-(Diethylamino)ethyl(2S,5R,6R)-6-(2,6-dimethoxybenzamido)-3,3-dimethyl-7-oxo-4-thia-l-azabicyclo[3.2.0]heptane-2-carboxylate. 抗生素类药。 Tameticillin. INN,USAN.  |