网站首页  词典首页


请输入您要查询的字词:

 

字词 代森锌
类别 中英文字词句释义及详细解析
释义 代森锌

有机硫杀菌剂。

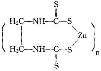
化学名称:乙撑双二硫代氨基甲酸锌。化学结构式如下。

白色淡黄色粉末,具异臭味,水中溶解度10mg/kg,只溶于吡啶中,大多数溶剂均不溶。吸湿性强,对光、热、湿气易分解而失效。

1943年美国罗门-哈斯公司研制。为广谱性保护杀菌剂。

为可湿性粉剂和粉剂、用于防治多种作物的叶斑病。对植物安全。

大鼠口服急性LD50>5200mg/kg,对黏膜有刺激作用。

受热或潮湿空气中分解产物乙撑硫脲对人畜毒性大。

有致甲状腺肿瘤作用。

随便看

 

离鸟网收录3541549条中英文词条,其功能与新华字典、现代汉语词典、牛津高阶英汉词典等各类中英文词典类似,基本涵盖了全部常用中英文字词句的读音、释义及用法,是语言学习和写作的有利工具。

 

Copyright © 2004-2024 vtrois.com All Rights Reserved
更新时间:2026/4/7 3:20:35