网站首页  词典首页


请输入您要查询的字词:

 

字词 代森锰锌
类别 中英文字词句释义及详细解析
释义 代森锰锌

有机硫杀菌剂。

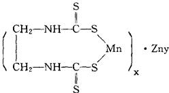
化学名称:代森锰和锌离子的配位化合物。化学结构式如下。原药是灰黄色粉末,不溶于水及大多数有机溶剂,高温、高湿条件下不易分解。1961年由美国罗门-哈斯公司开发,广谱性保护杀菌剂,作为果树、蔬菜、大田作物的叶面喷洒,防治早疫病、晚疫病、锈病、霜霉病、炭疽病、黑星病、赤星病等各种病害。

还可与内吸性杀菌剂混配如与甲霜灵混配为甲霜锰锌。大白鼠急性口服LD50(♂)14000mg/kg、(♀)12000mg/kg。

对植物安全,但夏季高温高湿时,在蔬菜幼苗期应慎重。对人的皮肤有刺激性。

随便看

 

离鸟网收录3541549条中英文词条,其功能与新华字典、现代汉语词典、牛津高阶英汉词典等各类中英文词典类似,基本涵盖了全部常用中英文字词句的读音、释义及用法,是语言学习和写作的有利工具。

 

Copyright © 2004-2024 vtrois.com All Rights Reserved
更新时间:2026/4/7 23:47:47