令重(英制)与定量(g/m2)间的相互换算
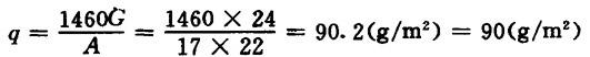
1.把令重(Ib/500张纸页)换算成定量(g/m2) 【公式】  式中 q——纸的定量(g/m2) G——令重(1b/500张) A——纸页面积(in2) 【例】 求令重为24Ib(17×22×500)的定量。 解:  2.把定量(g/m2)换算成令重(Ib/500张) 【公式】 G=0.000711qA (1-15-606) 式中符号含义及单位同上 【例】 求定量为90g/m2纸的令重(Ib)(17×22×500) 解: G=0.000711qA=0.000711×90×17×22=24(Ib) 3.令重与定量(g/m2)的换算系数 【说明】 令重或英制定量与克重每平方米之间的换算系数见表1-15-49。 表1-15-49 令重或英制定量与克重每平方米的换算系数表  注:*如果绘出的商业规格是480张纸页一令,那么该系数应乘以 (或0.960); **如果绘出的商业规格是480张纸页一令,那么该系数应乘以1.042。 |