网站首页  词典首页


请输入您要查询的字词:

 

字词 以可滴定碱为基准计算
类别 中英文字词句释义及详细解析
释义 以可滴定碱为基准计算

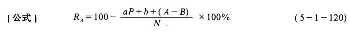
式中 RA——碱回收率(%)

a——芒硝耗量(kg)(以Na2O计)

P——芒硝还原率(%)

6——补充外来碱(kg)(以Na2O计)

A——统计开始时系统中可滴定碱贮存量(kg)(以Na2O计)

B——统计结束时系统中可滴定碱贮存量(kg)(以Na2O计)

N——蒸煮用去的可滴定碱量(kg)(以Na2O计)

[讨论]该计算法的优点是快而简便,因为可以快速测出蒸煮用碱、补充用碱等的可滴定碱,只有芒硝不能直测,但用芒硝还原率也可计算,因而使用较广。但该计算法所得的碱回收率不完全准确,因它不是以总碱计算,故又提出以下计算方法。

随便看

 

离鸟网收录3541549条中英文词条,其功能与新华字典、现代汉语词典、牛津高阶英汉词典等各类中英文词典类似,基本涵盖了全部常用中英文字词句的读音、释义及用法,是语言学习和写作的有利工具。

 

Copyright © 2004-2024 vtrois.com All Rights Reserved
更新时间:2026/4/7 1:25:24