网站首页  词典首页


请输入您要查询的字词:

 

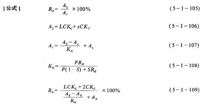
字词 以总碱为基准的计算
类别 中英文字词句释义及详细解析
释义 以总碱为基准的计算

式中 R0——黑液提取率(%)

A2——本期送蒸发工段的碱量(kg)

L——本期送蒸发工段的黑液量(m3)

C——黑液平均浓度(15℃)的含碱量(kg/m3)(以Na2O计)

KC——温度校正系数,因为生产中黑液体积是直测的,黑液温度为60~80℃,而黑液的含碱量是根据直测波美度换算为标准波美度查得的,如果直接运算,要比真实数据大3%左右,为使计算结果更切合实际,要乘以校正系数

Z——本期盘存黑液量(m3)

A1——本期蒸煮用碱量(kg),以总碱计

As——本期蒸煮用的活性碱(kg)

Ax——本期直接补碱量(kg)

KN——转化系数,表示将白液活性碱转为总碱的系数

P——芒硝还原率(%)

RK——苛化度(%)

S——硫化度(%)

[讨论]该式波美度测定次数多,准确度高,但必须根据材种、浆种找出不同浓度的黑液固形物中的含碱量。

[例]某木浆厂日产200t硫酸盐风干浆,蒸煮用五台110m3立锅,用二套四段真空洗浆机提取黑液。碱回收系统的芒硝还原率为88%,苛化率88%,硫化度25%。本期共实测十天,测出蒸煮共用活性碱600t,其中直接补加活性碱30t。共送蒸发工段16700m3黑液,本期盘存盈余400m3黑液,温度75℃,直测波美度平均7.1Bc。黑液固形物中含碱23.5%。计算该厂本期黑液提取率是多少?

[注意]75℃下黑液直测波美度为7.1Be′,查黑液波美度、固形物和比重关系表,得知15℃的标准波美度为11Be′,再由黑液波美度、重度与固形物含量关系表查得黑液固形物含量为165kg/m3

随便看

 

离鸟网收录3541549条中英文词条,其功能与新华字典、现代汉语词典、牛津高阶英汉词典等各类中英文词典类似,基本涵盖了全部常用中英文字词句的读音、释义及用法,是语言学习和写作的有利工具。

 

Copyright © 2004-2024 vtrois.com All Rights Reserved
更新时间:2026/4/6 21:28:18