网站首页  词典首页


请输入您要查询的字词:

 

字词 环腺苷酸
类别 中英文字词句释义及详细解析
释义

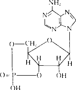
环腺苷酸cyclic adenylic acid

具有环状磷酸二酯结构的腺苷酸。缩写符号为cAMP。腺苷酸的磷酸基以磷酸酯键与核糖的5′碳原子连接,又通过磷酸酯键和该核糖的5′-碳原子连接。结构式如左。普遍存在于动物、植物及微生物细胞中,但含量极低。可在腺苷酸环化酶催化下由ATP转变而来,也可被环腺苷酸磷酸二酯酶水解为AMP。具有传递和放大激素作用信号的功能,被称为第二信使,在代谢调节中起重要作用。还参与大肠杆菌中DNA转录的调控。

环腺苷酸

又称“3’,5’-环AMP”。一种腺苷酸。其磷酸残基与糖上的3’,5’两个羟基酯化形成一个环状二酯。作为一个调节因子,在许多基本的生物代谢过程中发挥重要作用。

随便看

 

离鸟网收录3541549条中英文词条,其功能与新华字典、现代汉语词典、牛津高阶英汉词典等各类中英文词典类似,基本涵盖了全部常用中英文字词句的读音、释义及用法,是语言学习和写作的有利工具。

 

Copyright © 2004-2024 vtrois.com All Rights Reserved
更新时间:2026/4/7 19:19:39