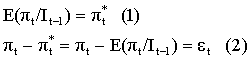
理性预期通货膨胀理论理性预期学派关于预期与通货膨胀关系的一种理论。该理论强调通货膨胀预期的作用,否定凯恩斯主义经济理论和经济政策的有效性和短期菲利普斯曲线的有效性,其主要代表人物有: 约翰·F·穆斯、罗伯特·卢卡斯 (著有 《经济周期理论研究》、《实际工资、就业和通货膨胀》 等)、托马斯·J·萨金特(《宏观经济理论》)、罗伯特·巴罗等。 理性预期学派认为: 在一个有内生变量,外生变量和前定变量 (由外部给定的变量) 的经济模型中,可以更加精确地阐述合理预期的概念。理性预期是 (由模型推导)对内生变量作无偏差估计,在估计过程中,所有关于外生变量和前定变量的信息都是已知的,并被用于预报。如果指定πt*和πt表示预期的和实际的通货膨胀率,It-1表示在时期t-1结束时可能获得的信息情况,那么,理性预期的存在意味着以下两点假定:  式中的εt是期望值E (εt) =0的随机变量。(1) 式表明,理性预期的通货膨胀率取决于预测前在时期t-1可能获得的有关信息It-1的量。理性预期是一种简化型预测,要预测的内生变量是所有外生变量、前定变量以及随机变量εt的函数,预测值就是从方程求得的数学期望值。(2) 式表明,理性预期并不是完美无缺的预见能力,相反,它允许有随机误差εt。 理性预期学派认为,经济生活中的人是合乎理性的,人们会充分利用一切信息,对它们进行理智的整理,并据此改变他们对事物的错误认识而为自己谋取最大利益进行决策。在一个竞争的世界里,现有的信息和有利可图的机会是不会被错过的。因此,理性预期学派认为,适应性预期存在严重缺陷,因而不能用来预测通货膨胀状况,应当用理性预期取代适应性预期。为此,他们进行了大量探索。 理性预期表明失业和通货膨胀之间不存在交替关系。理性预期学派指责凯恩斯主义的理论和政策有无法修补的谬误,即它们是建立在适应性预期的基础上,借助于欺骗性的通货膨胀政策,诱导公众作出错误的决策。公众可能一次被欺骗,其中有些人也许会再次上当,但借助相同一套宏观经济政策使所有公众再次上当受骗是不可能的。除非政府掌握的信息比公众的更完备,政府的宏观经济政策才有效,但政府不可能比公众得到更完备的信息。如萨金特所说,政府被有意地假定为比人民更聪明,当人们以意想不到的方式采取行动 (即作出理性预期) 时,政府政策的目标往往遭到失败。这就是说,人们预期的通货膨胀率是能准确地反映实际通货膨胀率的。因此,预期的通货膨胀率和实际的通货膨胀率之间不存在差距,政府不可能运用这个差距来造成生产者需求上升的幻觉减少失业,所以用通货膨胀率来实现充分就业的凯恩斯主义宏观经济政策是无效的。失业和通货膨胀之间不存在交替关系,菲利普斯曲线无论是长期还是短期都将失效,所有的失业都将是“自愿的”,因而也是“自然的”,所以失业率总是接近于自然失业率。 基于上述分析,理性预期学派认为,由于政府在战后相当长的时间里推行膨胀性政策来干预经济,形成了公众的通货膨胀预期。在 “物价还要继续上涨” 的预期下,为避免损失,人们事先提高各种商品的价格,提高各种收益率,其结果使物价水平继续普遍上涨。在物价水平持续上涨的情况下,人们又产生新的通货膨胀预期,共同采取预防性措施,普遍提高物价水平,从而形成通货膨胀一预期一通货膨胀的恶性循环。所以,在没有过大需求 (或超过度需求不够严重) 的情况下,通货膨胀预期本身也会加剧通货膨胀。 理性预期模型尚处于探索阶段,尚未形成一般形式,但这并不妨碍理性预期学派提出自己的治理通货膨胀的主张。理性预期学派认为,政府推行的充分就业的宏观经济政策是造成通货膨胀的原因,这一政策的推行还会不断加剧通货膨胀,甚至产生“滞胀”。由于自然失业率的存在,政府应把注意力放在防止或减轻通货膨胀上,而不是失业问题上。理性预期学派还认为,政府政策应保持一定的稳定性,并公诸于众,以便让公众抓住可资利用的机会和知道决策可能产生的结果,而不应经常变动政策从而迫使公众做出有害的决策。如果政策要变动,也不能以失业率这类指标为依据,而应使经济更有效率和人们处境更好,即以提高总体福利为依据。如卢卡斯主张,为了制止通货膨胀,货币当局最好制定和公开宣布恒久不变的货币供给量的年增长率,并果断付诸实施,从而取信于民。一旦公众认为这种政策是稳定的,可以信赖的,就会作出相应的反应,物价便会稳定下来,失业不会增加,生产也不会下降,而不会因政府政策的频繁干预而产生持续的通货膨胀预期的各种活动。所以,理性预期学派比货币主义和货币学派更加积极地主张实行自由主义的经济政策,反对国家干预,反对凯恩斯主义的财政政策和货币政策主张。理性预期通货膨胀理论 理性预期通货膨胀理论rational expected inflation theory理性预期学派关干预期与通货膨胀关系的一种理论。该理论强调通货膨胀预期的作用,否定凯恩斯主义经济理论和经济政策的有效性和短期菲利普斯曲线的有效性,其主要代表人物有:约翰·F·穆斯、罗伯特·卢卡斯(著有《经济周期理论研究》、《实际工资、就业和通货膨胀》等)、托马斯·J·萨金特(《宏观经济理论》)、罗伯特·巴罗等。 理性预期学派认为:在一个有内生变量,外生变量和前定变量(由外部给定的变量)的经济模型中,可以更加精确地阐述合理预期的概念。理性预期是(由模型推导)对内生变量作无偏差估计,在估计过程中,所有关于外生变量和前定变量的信息都是已知的,并被用于预报。如果指定π*t和πt表示预期的和实际的通货膨胀率,It-1表示在时期t-1结束时可能获得的信息情况,那么,理性预期的存在意味着以下两点假定: E(πt/It-1)=π* t (1)πt-π*t =πt-E(πt/It-1)=εt (2) 式中的εt是期望值E(εt)=0的随机变量。(1)式表明,理性预期的通货膨胀率取决于预测前在时期t-1可能获得的有关信息It-1的量。理性预期是一种简化型预测,要预测的内生变量是所有外生变量、前定变量以及随机变量εt的函数,预测值就是从方程求得的数学期望值。(2)式表明,理性预期并不具完美无缺的预见能力,相反,它允许有随机误差εt。 理性预期学派认为,经济生活中的人是合乎理性的,人们会充分利用一切信息,对它们进行理智的整理,并据此改变他们对事物的错误认识而为自己谋取最大利益进行决策。在一个竞争的世界里,现有的信息和有利可图的机会是不会被错过的。因此,理性预期学派认为,适应性预期存在严重缺陷,因而不能用来预测通货膨胀状况,应当用理性预期取代适应性预期。为此,他们进行了大量探索。 理性预期表明失业和通货膨胀之间不存在交替关系。理性预期学派指责凯恩斯主义的理论和政策有无法修补的谬误,即它们是建立在适应性预期的基础上,借助于欺骗性的通货膨胀政策,诱导公众作出错误的决策。公众可能一次被欺骗,其中有些人也许会再次上当,但借助相同一套宏观经济政策使所有公众再次上当受骗是不可能的。除非政府掌握的信息比公众的更完备,政府的宏观经济政策才有效,但政府不可能比公众得到更完备的信息。如萨金特所说,政府被有意地假定为比人民更聪明,当人们以意想不到的方式采取行动(即作出理性预期)时,政府政策的目标往往遭到失败。这就是说,人们预期的通货膨胀率是能准确地反映实际通货膨胀率的。因此,预期的通货膨胀率和实际的通货膨胀率之间不存在差距,政府不可能运用这个差距来造成生产者需求上升的幻觉减少失业,所以用通货膨胀率来实现充分就业的凯恩斯主义宏观经济政策是无效的。失业和通货膨胀之间不存在交替关系,菲利普斯曲线无论是长期还是短期都将失效,所有的失业都将是“自愿的”,因而也是“自然的”,所以失业率总是接近于自然失业率。 基于上述分析,理性预期学派认为,由于政府在战后相当长的时间里推行膨胀性政策来干预经济,形成了公众的通货膨胀预期。在“物价还要继续上涨”的预期下,为避免损失,人们事先提高各种商品的价格,提高各种收益率,其结果使物价水平继续普遍上涨。在物价水平持续上涨的情况下,人们又产生新的通货膨胀预期,共同采取预防性措施,普遍提高物价水平,从而形成通货膨胀—预期—通货膨胀的恶性循环。所以,在没有过大需求(或超过度需求不够严重)的情况下,通货膨胀预期本身也会加剧通货膨胀。 理性预期模型尚处于探索阶段,尚未形成一般形式,但这并不妨碍理性预期学派提出自己的治理通货膨胀的主张。理性预期学派认为,政府推行的充分就业的宏观经济政策是造成通货膨胀的原因,这一政策的推行还会不断加剧通货膨胀,甚至产生“滞胀”。由于自然失业率的存在,政府应把注意力放在防止或减轻通货膨胀上,而不是失业问题上。理性预期学派还认为,政府政策应保持一定的稳定性,并公诸于众,以便让公众抓住可资利用的机会和知道决策可能产生的结果,而不应经常变动政策从而迫使公众做出有害的决策。如果政策要变动,也不能以失业率这类指标为依据,而应使经济更有效率和人们处境更好,即以提高总体福利为依据。如卢卡斯主张,为了制止通货膨胀,货币当局最好制定和公开宣布恒久不变的货币供给量的年增长率,并果断付诸实施,从而取信于民。一旦公众认为这种政策是稳定的,可以信赖的,就会作出相应的反应,物价便会稳定下来,失业不会增加,生产也不会下降,而不会因政府政策的频繁干预而产生持续的通货膨胀预期的各种活动。所以,理性预期学派比货币主义和货币学派更加积极地主张实行自由主义的经济政策,反对国家干预,反对凯恩斯主义的财政政策和货币政策主张。 ☚ 哈耶克通货膨胀理论 斯堪的纳维亚通货膨胀模型 ☛ 00014614 |