网站首页  词典首页


请输入您要查询的字词:

 

字词 价格调整函数
类别 中英文字词句释义及详细解析
释义 价格调整函数

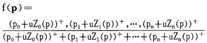
在m个商人交换n+1种商品的有限纯交换经济模型中,市场超需向量z(p)=(z0(p),z1(p),…,zn(p))是价格向量p=(p0,p1,…,pm)的函数,这里pj是商品j的价格,zj(p)是价格向量为p时市场对商品j的超额需求。

对于任何实数r,记(r)+=max{0,r},即当r≧0时(r)+=r,当r<0时(r)+=0。利用这一记号,即可将商品在供不应求时价格上升,供大于求时价格下降的市场调节机制描述为

其中u是某个适当的正实数。f(p)表示价格向量为p时,经过一次市场调节所得到的新的价格向量。

这种形式的价格调节函数适用于对价格向量作规范化处理,使n+1种商品的价格之和p0+p1+…+pn=1的情形。这时,f(p)的分量也都非负,并且总和为1。所以,从p到f(p),价格调节函数是从标准n维单纯形

Sn={p=(p0,p1,…,pn)|p0,p,…,pn≥0,p0+p1+…+pn=1}

到它自身的一个对应。

描述市场机制的价格调节函数并不限于上述形式,不同的作者往往使用不同的价格调节函数。

随便看

 

离鸟网收录3541549条中英文词条,其功能与新华字典、现代汉语词典、牛津高阶英汉词典等各类中英文词典类似,基本涵盖了全部常用中英文字词句的读音、释义及用法,是语言学习和写作的有利工具。

 

Copyright © 2004-2024 vtrois.com All Rights Reserved
更新时间:2026/4/9 0:46:06