网站首页  词典首页


请输入您要查询的字词:

 

字词 生物素
类别 中英文字词句释义及详细解析
释义

生物素biotin

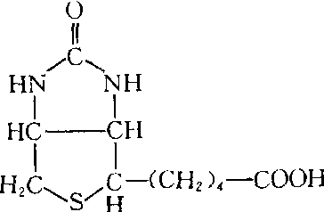
α-戊酸-3、4-环脲噻吩。无色,溶于稀碱和温水,沸水溶液中稳定,但能被氧化剂、酸和碱破坏。在生物体内,其羧基常与其专一酶蛋白中赖氨酸的ε-氯基以酰胺键相连。为羧化酶的辅酶,在糖、脂、蛋白质和核酸等物质代谢过程中起二氧化碳载体的作用。在催化反应中,二氧化碳先与脲环上的一个氮原子结合,然后再被转移给其他受体。B族维生素之一,主要缺乏症表现为恶心、呕吐、毛发脱落、鳞屑状皮炎和精神抑郁等。人体因肠道细菌能合成,故一般不易产生缺乏症,但若常吃生鸡蛋,因蛋清中含有抗生物素蛋白,两者结合后使肠壁不能吸收而导致缺乏症。肝、肾、酵母、肉类、蛋黄、牛乳中含量较多。

生物素biotin

系一种含骈环并带有戊酸侧链的有机化合物。分子量为244,广泛存在于哺乳类动物的肝、脂肪组织、卵黄、乳腺和肾脏等组织中;分α型和β型,α型存在于卵黄中、β型存在于肝组织中,其生理功能基本相同;溶于热水不溶于脂溶剂,常温下稳定,加热或有氧化剂时可失活。生物素与抗生物素具有极高的亲和力,二者在酶联免疫技术中发挥重要作用,是生物化学、免疫学、免疫组织化学中的有力工具之一。

生物素

又称“维生素B7”、“维生素F”。B族维生素的一种。化学结构为噻吩与尿素结合而成的一个双环化合物,侧链上有一戊酸。在羧化反应中为多种羧化酶的辅酶。

生物素biotin

是一种水溶性维生素B。在自然界中至少有两种:
❶α生物素,存在于蛋黄中;
❷β生物素,存在于肝脏。它们的生理功用基本相同。人类需要的生物素大部分由肠内细菌制造供应。生物素缺乏多见于长期服用抗生素或大量食用生鸡蛋清者。抗生素能消灭肠内细菌,使生物素合成减少;生鸡蛋清则含有对热不稳定的抗生素蛋白,能与生物素结成不被消化、吸收的物质,造成生物素缺乏。

生物素

生物素

生物素亦称维生素H或辅酶R。1920年Bateman发现大量生卵白对大鼠有毒,1926年Boas描述了中毒症状: 皮炎、脱毛、肌肉丧失协调作用; 并谓肝、酵母有保护作用。1936年Kogl与Tonnis从蛋黄中提出晶体的酵母生长因素,命名为生物素。1940年Gyorgy与duVigneaud证明生物素与抗卵白损伤因子是同一种物质,并分离出生物素。1942年确定了生物素的结构。
生物素,以一种辅酶形式参加多种羧化反应。这辅酶通过赖氨酸-氨基成酰胺键与酶蛋白结合。 这些酶如乙酰CoA羧化酶,丙酰CoA羧化酶,甲基丙二酰转羧酶和丙酮酸羧化酶等,能催化将CO2固定到有机键中间去。因而缺乏生物素的组织将CO2参合到草酰乙酸以及合成脂酸的能力减少。这一羧化反应分成二步进


BCCP即生物素羧基载体蛋白,M2+为二价金属离子。
肠道细菌能合成生物素,因此用一般动物饲养方法不易产生生物素缺乏症,但若用大量生卵白,或消灭肠道细菌,或用生物素代谢拮抗物,才能造成生物素缺乏。生卵白中含有抗生物素蛋白,分子量约为70 000,是一种糖蛋白。它是一个由四个顺序已知的相同亚基构成;每个亚基含128个氨基酸,能以Ka=1015的结合力与生物素结合。这种异常紧密而又不可逆的结合,似乎说明抗生物素蛋白在卵中有极重要的未知生理功用。然而这种蛋白却已成为人们抑制含有生物素的羧化酶类的有用工具。
在需要生物素的各种动物体内能用氧生物素 (以氧代替生物素分子中的硫的产物) 直接替换生物素而起作用,它并不是在体内转换成生物素而起作用。
实验动物缺乏生物素时表现皮炎、脱毛和神经系统紊乱。人类没有缺乏生物素的症状。如人为地诱发时则有厌食、恶心、苍白、皮炎与抑郁等。
蛋黄、肝、蕃茄、酵母中富于生物素。
☚ 泛酸   叶酸 ☛
00000706
随便看

 

离鸟网收录3541549条中英文词条,其功能与新华字典、现代汉语词典、牛津高阶英汉词典等各类中英文词典类似,基本涵盖了全部常用中英文字词句的读音、释义及用法,是语言学习和写作的有利工具。

 

Copyright © 2004-2024 vtrois.com All Rights Reserved
更新时间:2026/4/9 8:24:39