网站首页  词典首页


请输入您要查询的字词:

 

字词 甲基立枯磷
类别 中英文字词句释义及详细解析
释义

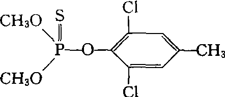
甲基立枯磷tolclafosmethyl

又称利克菌(rizolex)。有机磷杀菌剂。化学名称:O-(2,6-二氯-4-甲基苯基)O,O-二甲基硫代磷酸酯。化学结构式如下。原药为白色结晶,熔点78~80℃,几不溶于水,25℃时在丙酮中溶解度为50.2%,二甲苯中36.0%,环己烷中36.0%,甲醇5.9%,不易燃,不易爆。40~60℃可贮存10个月。对丝核菌和齐整小核菌属真菌引起的多种作物的立枯病和白绢病有效,土壤处理或种子处理,持效期较长。对人畜低毒。大鼠急性口服LD50为5 000 mg/kg,大鼠经皮LD50>5 000 mg/kg。对眼、皮肤无刺激,试验剂量下,未发现致畸、致突变、致肿瘤作用。

随便看

 

离鸟网收录3541549条中英文词条,其功能与新华字典、现代汉语词典、牛津高阶英汉词典等各类中英文词典类似,基本涵盖了全部常用中英文字词句的读音、释义及用法,是语言学习和写作的有利工具。

 

Copyright © 2004-2024 vtrois.com All Rights Reserved
更新时间:2026/5/25 8:36:50