| 释义 |
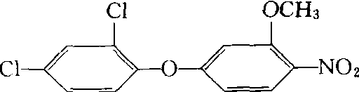
甲氧除草醚chloromethoxynil又称氯硝醚。二苯醚类触杀性除草剂。化学名称:2,4-二氯苯基-3′-甲氧基-4′-硝基苯基醚。化学结构式如下。纯品为黄色结晶,熔点113~114℃,几乎不溶于水,可溶于丙酮、乙醇、苯、醚等有机溶剂。易被杂草幼芽部吸收,受到日光照射后活化发挥作用,干扰植物的呼吸作用,抑制ATP的生成,使杂草枯萎。小麦、花生、蔬菜播后芽前施用(a、i)1.5~2.5kg/hm2。可防除稗草、牛毛草、鸭舌草、碎米莎草、异型莎草、瓜皮草、节节菜、马唐、藜等一年生杂草。对人、畜低毒,大、小鼠急性口服LD50为10 000 mg/kg,鼠急性经皮LD50为2 000mg/kg。对鱼类有中等毒性。 
|