网站首页  词典首页


请输入您要查询的字词:

 

字词 甲氮咪胺
类别 中英文字词句释义及详细解析
释义
甲氮咪胺

甲氮咪胺


甲氮咪胺 (dacarbazine) 又名氮烯咪胺、deticene、DTIC、DIC。是治疗恶性黑色素瘤的主要药物之一。为白色结晶,m.p. 250~255℃(分解)。在室温1mg溶于1ml水。对光高度敏感,中性溶液在避光下稳定。静脉制剂含有无水枸橼酸和甘露醇,亦可用甲氮咪胺枸橼酸盐或酒石酸盐。
从寻找5-氨基-4-氨甲酰咪唑(AIC)类似物,以抑制核酸合成的设想出发,发现重氮咪唑氨甲酰对实验动物肿瘤有抑制作用。甲氮咪胺作为后者的潜药合成于1959年,它对多种实验动物肿瘤有活性,对艾氏瘤实体型的活性在等克分子剂量下,与丝裂霉素、环磷酰胺和巯基嘌呤的活性相近。在体外和体内甲氮咪胺对RNA和蛋白质合成的抑制强于对DNA的作用。地鼠的卵巢细胞或人的恶性黑色素瘤细胞以N-甲基14C标记的甲氮咪胺处理,只在避光下才能与DNA结合产生标记的DNA。用环上2位14C的甲氮咪胺则不论避光与否,都能找到标记的DNA和RNA。在人、狗或小鼠,其主要代谢物为AIC。此外,从服用甲氮咪胺的患者和大鼠的尿中能分离得7-甲鸟嘌呤。
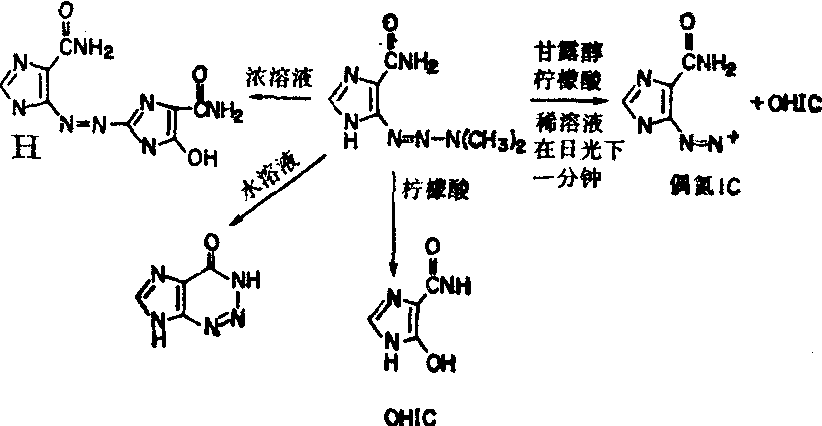
本品遇光很快分解为二甲胺和高细胞毒的重氮IC,后者环化为低活性的氮杂6-羟嘌呤(2)。在无光下,甲氮咪胺经微粒体氧化酶氧化为羟基化合物(3),然后产生单甲基衍生物(MIC),再分解为AIC和具有烃化作用的阳碳离子CH+3,后者烃化核酸碱基而产生7-甲鸟嘌呤。甲氮咪胺的羟基化合物不稳定,无法比较它和原药的活性。在对二甲三嗪苯甲酸乙酯(p-C2H5OOC-C6H4-N=N-N (CH3)2)系列中,N-羟甲基化合物的活性高于二甲基和单甲基活性。


甲氮咪胺对周期中各相细胞均有作用,但对G2相后期的细胞抑制最强。
口服甲氮咪胺吸收不完全,个体差异大,生物利用度约25%。一次大剂量静注,血浆中药物消失呈两相,相应半寿期为19分钟和5小时。本品不能透过血脑屏障。
甲氮咪胺主要用于治疗恶性黑色素瘤,亦用于何杰金病、软组织瘤等。
不良反应主要为中度骨髓抑制和较强的胃肠反应。给药后5~21天白细胞和血小板下降到最低水平。部分病人用药后有发高烧和肌肉痛等类似流感症状。曾报道有三例患者用每天200~260mg/m2连续5天,发生肝静脉血栓,产生致死性肝坏死。
参考剂量: 为静注每日2~4.5mg/kg连续10天,4周后重复,或每日100~250mg/m2连续5天,休息三周。


静注液配制和给药时亦必须严格注意避光,遇光后的分解产物的结构与其溶液的配制和条件有关。故应在暗处红灯下备药和给药,以减少光解,并降低恶心、呕吐和局部疼痛等反应。
在甲氮咪胺的一系列衍生物中氯氮咪胺对小鼠白血病L1210的抑制率较甲氮咪胺高,但初步临床结果并不优越。此外还合成了其它杂环和取代苯环的三嗪化合物,其中取代苯的二甲三嗪较稳定,将有利于使用。对甲苯甲酸二甲三嗪钾盐对Lewis肺癌选择性地抑制转移,这一现象值得注意。

氯氮咪胺(BIC)

取代苯二甲三嗪

☚ 甲基苄肼   甲氨蝶呤 ☛
00005687
随便看

 

离鸟网收录3541549条中英文词条,其功能与新华字典、现代汉语词典、牛津高阶英汉词典等各类中英文词典类似,基本涵盖了全部常用中英文字词句的读音、释义及用法,是语言学习和写作的有利工具。

 

Copyright © 2004-2024 vtrois.com All Rights Reserved
更新时间:2026/4/9 13:34:30