网站首页  词典首页


请输入您要查询的字词:

 

字词 甲草胺
类别 中英文字词句释义及详细解析
释义

甲草胺alachlor

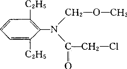
选择性芽前土壤处理酰胺类除草剂。商品名拉索(Lasso)、草不绿。化学结构式:

1966年由美国孟山都(Monsanto)公司首先开发。
性能 原药为白色无味结晶,不具挥发性,熔点为39.5~41.5℃,沸点为100℃(2.66帕),105℃时分解。密度为1.133(25℃/15.6℃)。能溶于乙醚、苯、乙醇等有机溶剂,在水中溶解度为242毫克/升(25℃)。强酸强碱条件下可水解,紫外光下较为稳定。原药大鼠急性经口LD50为930毫克/千克,家兔急性经皮LD50为13300毫克/千克。大鼠急性吸入LC50>1.04毫克/升。对家兔皮肤和眼睛有中等刺激作用。大鼠慢性经口无作用剂量为2.5毫克/(千克·天)。在试验条件下未见致畸、致突变作用。但在15和240毫克/千克剂量下的小鼠致癌试验中,出现支气管肺泡肿瘤和肝、肺肿瘤。主要经幼芽(单子叶杂草为胚芽鞘,双子叶杂草为下胚轴)吸收,出苗后则靠根吸收向上传导。进入杂草体内的甲草胺抑制蛋白酶活性,使蛋白质合成遭到破坏,导致芽、根无法形成。如果土壤水分适宜,杂草幼芽不出土即被杀死。土壤缺水时,杂草能照常出土,待下雨后,才能吸收毒剂逐渐死亡。大豆、玉米、花生等对甲草胺有较大抗药性。
应用 甲草胺能有效防治大多数一年生禾本科及某些双子叶杂草。也可用于棉花、甘蔗、油菜、烟草、洋葱和萝卜等蔬菜地除草。在大豆地,可在播种前或播后芽前作土壤处理。沙壤、壤土和粘土地,43%甲草胺乳油每公顷用量依次为3.75~4.5、4.5~6.0、6.0~6.75升。杂草密度大或有机质含量高时,宜采用上限量。每公顷对水450~600升,均匀喷洒地表。中等湿度土壤或施药后降雨即可保证除草效果。干旱土壤则应浅混土,以不伤及大豆芽为准。为了避免出现阔叶草荒,甲草胺应与防治阔叶草的除草剂混用或搭配使用。在花生地,每公顷用43%甲草胺乳油2.25~3.75千克,均匀喷雾后随即混土,然后播种花生,对马唐、千金子、稗草、蟋蟀草、藜等效果显著,对花生安全。在施药混土后覆盖塑料膜(用药量可适当降低),然后播种花生,不仅除草效果好,且增产显著。在玉米地,于播种前或播后苗前,用43%甲草胺乳油2.25~4.5千克/公顷进行土壤处理,除草效果好,若与莠去津混用则药效更佳。蔬菜地用量为200毫升/亩,均匀喷雾地表后,可移栽或播种番茄、辣椒、洋葱、萝卜等作物。
由于致肿瘤的问题,1987年美国规定甲草胺为“限用型”除草剂。即只准持合格证的人员,或在他们的指导下,在规定的作物上使用。要求用机械进行装卸、喷洒。飞机喷雾时禁止用人工信号旗手。

甲草胺alachlor

又称拉索、杂草锁、草不绿。酰胺类内吸选择性除草剂。化学名称:α-氯代- 2′,6′-二乙基-N-(甲氧甲基)乙酰替苯胺。化学结构式如下。原药为乳白色非挥发性结晶体,熔点39.5~41.5℃,沸点100℃(2.67 Pa),105℃分解。24℃蒸气压293.3×10 -5Pa。微溶于水,能溶于乙醚、丙酮、苯、氯仿、乙醇等有机溶剂。对紫外线稳定,在强酸、强碱条件下水解。能被植物幼芽(胚芽鞘或下胚轴)吸收,向上传导。种子和根吸收量少,传导慢。进入植物体内抑制蛋白酶,使蛋白质合成受阻,造成芽和根停止生长而死亡。适用于大豆、花生、棉花、玉米、油菜、小麦及蔬菜等作物使用,防除多种一年生禾本科杂草和苋、藜等阔叶杂草,对菟丝子也有一定的防效。甲草胺对大鼠急性口服LD50为930 mg/kg,兔急性经皮LD50为13 300 mg/kg,大鼠急性吸入LC50>1.04 mg/L,对皮肤、眼有中等刺激作用。大、小鼠致癌试验中,分别在15 mg/kg和240~260 mg/kg剂量下出现肿瘤,在美国列为限用型农药。

甲草胺

酰胺类除草剂,又称拉索。1966年由美国研制推广。选择性芽前除草剂。纯品为结晶体。23℃水中溶解度为240ppm。主要剂型为43%乳油。一般用于大豆、棉、玉米的田间杂草防除。

随便看

 

离鸟网收录3541549条中英文词条,其功能与新华字典、现代汉语词典、牛津高阶英汉词典等各类中英文词典类似,基本涵盖了全部常用中英文字词句的读音、释义及用法,是语言学习和写作的有利工具。

 

Copyright © 2004-2024 vtrois.com All Rights Reserved
更新时间:2026/4/8 7:07:17