网站首页  词典首页


请输入您要查询的字词:

 

字词 电子计算机与核医学
类别 中英文字词句释义及详细解析
释义
电子计算机与核医学

电子计算机与核医学

电子计算机(计算机)是一种高速、自动化的计算装置。自1946年第一台电子计算机问世后,卅多年来,它经历了由电子管到大规模集成电路等四“代”机器更新,现在还在不断向前发展。
计算机主要由以下几部分组成:
运算器: 计算机的各种算术运算和逻辑运算都是在运算器中进行的。
控制器: 由它操纵计算机各部分按照程序的要求协调动作。
存贮器: 它是计算机的重要组成部分,用来保存原始数据、中间结果、最后结果及计算程序。存贮器又分为内存贮器和外存贮器。内存贮器与算题直接有关,它的主要特点是存数和取数速度快,但存贮容量小。内存贮器有磁芯存贮器和半导体存贮器。外存贮器一般不直接参与运算,它的特点是存贮容量大,但存取速度慢。外存贮器有磁盘、磁带、磁鼓等。
输入设备: 它将信息(数据或程序)送入计算机内。输入设备是人与计算机联系的主要设备之一。常用的输入设备有光电输入机、卡片输入机和电传打字机等。
输出设备: 计算机计算的结果及有关的信息,都必须通过输出设备显示出来。常用的输出设备有终端显示器、电传打字机、宽行打印机和X-Y绘图仪等。


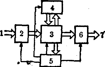
数字计算机组成方框图
双线箭头为数据信息流向,
单线箭头为控制信息流向
1. 数据计算程序 2. 输
入设备 3. 存贮器 4.
运算器 5. 控制器 6.
输出设备 7. 运算结果


由以上各部件(物质元件)所组成的计算机,统称为计算机硬件(见图)。硬件本身只能完成简单的算术运算(加、减、乘、除)和逻辑运算(“与”、“或”、“非”等)。但是,仅有硬件,计算机还不能正常工作和发挥作用。这是因为任何问题想要在计算机上求解,首先必须把问题归结为数学的形式(通称数学模型),然后,选择合适的计算方法,根据计算方法,将要求解的问题化为适合于计算机硬件进行运算的一系列步骤(编程序)。程序编好后,把它和原始数据输入到计算机中,计算机便可以自动进行运算。计算机之所以能够自动进行计算,完全是受送到机器内的程序的指挥。所以,编程序是应用计算机的一个必不可少的重要环节。一台计算机所拥有的各种程序的总和称为计算机软件。软件的质量和功能左右了计算机的应用,而硬件是物质基础。离开了硬件,再好的软件也是无法实现的。
计算机的计算精度高,运算速度快,具有“记忆”和逻辑判断等优点,再加自动化程度高,通用性强,故应用范围很广。目前主要用于科学计算、数据处理、自动控制、计算机辅助设计和人工智能等。它在核医学技术中也起着重要的作用。无论是在实验核医学的研究、临床核医学的诊断治疗技术,还是在核医学实验中心的自动化等方面都正在发挥越来越大的作用,有一些核医学工作,离开计算机就无法进行。当前,计算机在核医学技术中主要完成下述功能:
(1)快速收集和存贮数据: 在核医学实验中大都需要探测放射性核素的辐射粒子,作为测量数据记录下来。例如有些放射性核素的示踪方法,是把放射性核素标记在某种药物上引入人体,在体外测量该核素的辐射,以确定核素在组织中的分布或清除速率,从而判定组织密度和功能的异常。为了减小统计误差,需要收集足够的数据,而又不超过人体所能耐受的辐射剂量,因此需要使用短寿命核素。这就必须在很短的时间内收集和记录大量的数据。某些测量装置中(如ECT)数据收集速率达到每秒107个以上。这样一个装置,没有一个以电子计算机为核心部件的在线数据收集和处理系统,是不可能进行工作的。系统不仅能够实时地快速收集数据,而且能控制数据收集方式并实现在线的数据处理。
根据实验目的不同,系统的复杂程度也不同。在扫描机、动态功能测定仪、样品自动测量装置等简单测量系统中可以使用微处理机作为主控部件。而在ECT等大型测量系统中,多个探测器的输入信号需首先经过快电子学电路进行有用事件的判选,进入高速缓冲存贮器,再经过数据传送接口电路送入小型或中型计算机。原始数据先存放在计算机的主存贮器中,经过数据处理后再传送到外存贮器(如磁盘)中作永久性保存,需要时可以随时取出作对比分析。
(2)数据处理: 核医学实验中收集的原始数据一般需要以一定的数学方法进行处理才能得到有意义的结果。例如在动态功能测定或用活化分析方法确定人体内的微量元素时,对测得的数据要进行数据平滑、曲线拟合、计算功能参数或求出微量元素的含量和进行统计分析等多种数据处理。使用计算机可以代替繁琐的人工计算,速度快,而且可以大大提高实验精度。例如用计算机处理由扫描机或γ照相机测得的图象,可以提高图象的几何分辨率,使图象更加清晰。某些数据处理只能用计算机进行。例如发射计算机断层仪(ECT)的三维图象重建过程,由于图象重建的数学过程很复杂,而且要在尽量短的时间内完成,不使用计算机是不可能实现的(见“发射计算机断层仪”条)。又例如生物医学系统行为的计算机模拟,首先建立描述生物医学系统行为的数学模型,编制成计算程序,然后在不同实验条件下计算出此数学模型的响应以期对生物医学系统的行为有更本质的了解。例如铁代谢动力学的计算,肺循环血液动力学的计算,放射性核素示踪动力学的研究等,都可以采用计算机模拟的方法,以求得更符合实际的实验设计,乃致创建可以普遍应用的示踪方法学和示踪理论(见“示踪动力学”条)。(3)数据记录和显示: 计算机系统中一般都配备有大容量存贮器和阴极射线管(CRT)字符和图形显示器。大容量存贮器中可以长期存放原始的或处理好的数据,作为永久性的资料保存。例如每张软磁盘中可以存放几帧图象数据,供医生随时再次显影。计算机系统中的数字打印机和描图仪以数字或曲线的形式输出测量结果。CRT显示器可以在计算机控制下,在荧光屏上以不同的格式显示图象。如主体显示、剖面显示、等高显示等。也可以用不同的颜色表示不同的放射性活度水平。由计算机系统提供的各种输出和显示手段,给核医学诊断和研究提供了方便。
(4)计算机控制和实验过程的自动化: 由于计算机可以作为一个主控设备来控制各种核医学仪器以一定的程序自动操作,使仪器乃至整个核医学实验中心的自动化成为可能。例如在以计算机为主控设备的样品自动化分析装置中,样品的转换、稀释、加入试剂、过滤、测量和放射性活度计算、列表输出测试结果等工作都在程序控制之下自动进行,不仅提高了样品测试速度,也保证了测试结果的一致性和可靠性。又如在用加速器治疗肿瘤时,可以根据肿瘤组织的分布,由计算机控制各部位的照射剂量和时间,以提高对肿瘤细胞的杀伤率,并减少正常组织的损伤。
(5)事务和资料管理: 核医学中心的各种事务管理工作也可以由计算机进行。如放射性核素库的管理、病历资料的管理和检索、治疗计划的制定等都可以由计算机进行。
核医学中常用的几种计算机化的仪器系统:
(1)体外显象: 计算机化的扫描机、γ照相机、ECT都是以计算机为主要设备的在线数据收集和处理系统。计算机用于:控制数据收集方式、数据收集的起始和停止,驱动探头以预定的几何规律运动;存贮原始数据,通过处理数据形成图象;进行场不均匀度校正、计数损失校正、数据平滑、对比度增强等以提高图象的质量; 打印数据、描绘曲线、显示图象等。
(2)计算机化的功能测定仪器: 一般是以微型计算机为主要设备的数据收集和处理系统。数据的收集可以用其他信号(如心电图信号)同步,数据处理之后打印出所测的功能参数,描绘或显示出功能曲线。
(3)计算机在活化分析中的应用: 计算机化的γ谱仪或x线谱仪是用于活化分析的重要设备。计算机除控制样品的转移和照射、γ或X线能谱的收集外,最主要的是对γ或X线能谱进行解析,即自动寻找谱中的峰位、分解重叠峰、求出主峰的净面积,并对这些数据进行解释(包括核素识别、对核素的含量进行定量分析、输出实验的最终结果)。
(4)微型计算机在核医学中的应用: 随着大规模和超大规模集成电路技术的进展,微处理机和微型计算机系统的体积越来越小,价格不断降低,性能不断提高。在核医学仪器中装入微处理机可以大大提高其自动化程度和功能。若干个微型计算机和一台较大的计算机可以构成一个分布式的核医学数据处理系统。
计算机的应用促进了核医学的发展,反过来核医学实验的新要求也给计算机科学提出一些新的课题。可以预见,这两个学科的更紧密的结合,将会不断出现新的成果。
☚ 全身放射性计数   核医学常用的电离辐射量和单位 ☛
00018658
随便看

 

离鸟网收录3541549条中英文词条,其功能与新华字典、现代汉语词典、牛津高阶英汉词典等各类中英文词典类似,基本涵盖了全部常用中英文字词句的读音、释义及用法,是语言学习和写作的有利工具。

 

Copyright © 2004-2024 vtrois.com All Rights Reserved
更新时间:2026/4/9 10:17:26