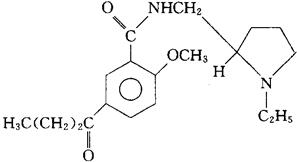
伊咯必利
C19H28N2O3=332.44 CAS-64779-98-2 (±)-5-丁酰-N-[(1-乙基-2-吡咯烷基)甲基]-邻-茴香酰胺。 (±)-5-Butyryl-N-[(1-ethyl-2-pyrrolidinyl)methyl]-o-anisamide. N-[(1-乙基-2-吡咯烷基)甲基]-2-甲氧基-5-(1-氧丁基)苯甲酰胺。 N-[(1-Ethyl-2-pyrrolidinyl)methyl]-2-methoxy-5-(1-oxobutyl)benzamide. 镇吐药。 Irolapride. INN,USAN.  |